精英家教网 > 高中数学 > 题目详情

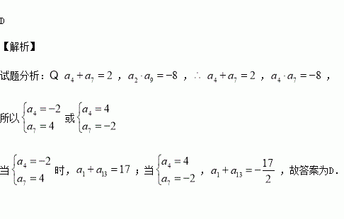
已知数列为等比数列,满足,则的值为( )

A. B. C. D.

练习册系列答案
相关习题

科目:高中数学 来源:2016届湖北省、宜昌一中高三10月联考文科数学试卷(解析版) 题型:选择题

已知定义在R上的函数对任意都满足,且当时,,则函数的零点个数为 ( )

A. B. C. D.

查看答案和解析>>

科目:高中数学 来源:2016届浙江宁波效实中学高三上期中考试理科数学试卷(解析版) 题型:填空题

数列的前项和为,则 ;数列的前10项和

查看答案和解析>>

科目:高中数学 来源:2016届山东省高三第二次诊断性考试理科数学试卷(解析版) 题型:填空题

对于函数,现给出四个命题:

时,为奇函数;

的图象关于对称;

时,方程有且只有一个实数根;

④方程至多有两个实数根

其中正确命题的序号为

查看答案和解析>>

科目:高中数学 来源:2016届河南省原名校高三上学期第一次联考文科数学试卷(解析版) 题型:填空题

若函数上的增函数,则实数的取值范围是

查看答案和解析>>

科目:高中数学 来源:2015-2016学年四川绵阳南山中学高二上期中文科数学试卷(解析版) 题型:解答题

(本小题满分为10分)

已知中心在原点,焦点在轴上的椭圆C的离心率为,且经过点M(1,),过点P(2,1)的直线与椭圆C相交于不同的两点A,B.

(Ⅰ)求椭圆C的方程;

(Ⅱ)是否存在直线,满足?若存在,求出直线的方程;若不存在,请说明理由.

查看答案和解析>>

科目:高中数学 来源:2015-2016学年四川绵阳南山中学高二上期中文科数学试卷(解析版) 题型:选择题

与圆的位置关系是

A.外切 B.内切 C.相交 D.相离

查看答案和解析>>

科目:高中数学 来源:2015-2016学年湖北省高二上期中文科数学试卷(解析版) 题型:选择题

已知是双曲线的左焦点,P是C右支上一点, ,当 周长最小时,该三角形的面积为( )

A. B. C. D.

查看答案和解析>>

科目:高中数学 来源:2015-2016学年广东省普宁市高一上学期期中考试数学试卷(解析版) 题型:选择题

将函数的图象上所有点的横坐标伸长到原来的2倍(纵坐标不变),再将所得的图象向左平移个单位,得到的图象对应的解析式是( )

A. B.

C. D.

查看答案和解析>>

同步练习册答案