精英家教网 > 高中数学 > 题目详情

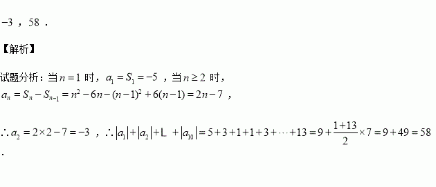
数列的前项和为,则 ;数列的前10项和

练习册系列答案
相关习题

科目:高中数学 来源:2016届宁夏银川一中高三上学期第三次月考文科数学试卷(解析版) 题型:解答题

(本小题满分12分)设数列的各项均为正数,它的前项的和为,点在函数的图像上;数列满足.其中

(1)求数列的通项公式;

(2)设,求证:数列的前项的和).

查看答案和解析>>

科目:高中数学 来源:2015-2016学年甘肃省高一上学期期中数学试卷(解析版) 题型:选择题

已知函数是定义域上的单调递减函数,则实数的取值范围是( )

A. B. C. D.

查看答案和解析>>

科目:高中数学 来源:2015-2016学年甘肃省嘉峪关市高二上学期期中考试理科数学试卷(解析版) 题型:解答题

(本小题满分12分)函数,数列满足

(1)求证:数列是等差数列;

(2)令,若对一切成立,求最小正整数

查看答案和解析>>

科目:高中数学 来源:2016届浙江宁波效实中学高三上期中考试文科数学试卷(解析版) 题型:填空题

求值

查看答案和解析>>

科目:高中数学 来源:2016届山东省高三第二次诊断性考试文科数学试卷(解析版) 题型:解答题

(本小题满分12分)

已知命题方程上有解,命题只有一个实数满足不等式,若命题“”是假命题,求实数的取值范围.

查看答案和解析>>

科目:高中数学 来源:2016届山东省高三第二次诊断性考试文科数学试卷(解析版) 题型:选择题

,则的定义域为

A. B.

C. D.

查看答案和解析>>

科目:高中数学 来源:2016届河南省原名校高三上学期第一次联考文科数学试卷(解析版) 题型:选择题

已知数列为等比数列,满足,则的值为( )

A. B. C. D.

查看答案和解析>>

科目:高中数学 来源:2015-2016学年陕西省高二上学期期中考试数学试卷(解析版) 题型:选择题

不等式的解集为( )

A.

B.

C.

D.

查看答案和解析>>

同步练习册答案