精英家教网 > 高中数学 > 题目详情

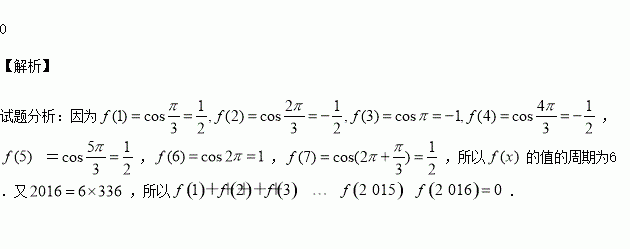
设函数,则=________.

练习册系列答案
相关习题

科目:高中数学 来源:2016届福建省高三上第二次月考文科数学试卷(解析版) 题型:选择题

已知函数,则下列说法正确的为( )

A.函数的最小正周期为

B.的最大值为

C.的图象关于直线对称

D.将的图象向右平移,再向下平移个单位长度后会得到一个奇函数的图象

查看答案和解析>>

科目:高中数学 来源:2015-2016学年江西省高一重点上期中数学卷(解析版) 题型:选择题

设集合U={1, 2,3,4,5},A={1,2,3},B={2,5},则(∁UA)∩(∁UB)=( )

A.{2} B.{2,3} C.{4} D.{1,3}

查看答案和解析>>

科目:高中数学 来源:2015-2016学年江西省高二上期中文科数学试卷(解析版) 题型:解答题

已知函数

(1)若,求在点处的切线方程;

(2)若,求函数上的最大值和最小值.

查看答案和解析>>

科目:高中数学 来源:2015-2016学年湖南师大附中高二上第二次段测文科数学卷(解析版) 题型:选择题

在平面上,,若,则的取值范围是( )

A. B. C. D.

查看答案和解析>>

科目:高中数学 来源:2015-2016学年河北省高二上期中文科数学试卷(解析版) 题型:选择题

已知函数在R上满足:对任意,都有,则实数a的取值范围是( )

A. B. C. D.

查看答案和解析>>

科目:高中数学 来源:2015-2016学年河北省高二上期中理科数学试卷(解析版) 题型:选择题

不同的五种商品在货架上排成一排,其中甲、乙两种必须排在一起,丙、丁不能排在一起,则不同的排法共有( )

A.种 B.种 C.种 D.

查看答案和解析>>

科目:高中数学 来源:2015-2016学年广东汕头金山中学高二上12月考理数学卷(解析版) 题型:解答题

如图,椭圆的离心率为,直线所围成的矩形ABCD的面积为8.

(1)求椭圆M的标准方程;

(2)设直线与椭圆有两个不同的交点与矩形ABCD有两个不同的交点.求的最大值及取得最大值时的值.

查看答案和解析>>

科目:高中数学 来源:2016届广西河池高中高三上第五次月考文科数学试卷(解析版) 题型:解答题

如图,已知四棱锥平面中点.

(Ⅰ)求证:平面

(Ⅱ)求证:平面平面

查看答案和解析>>

同步练习册答案