精英家教网 > 高中数学 > 题目详情

中,分别为的中点,则( )

A. B. C. D.

练习册系列答案
相关习题

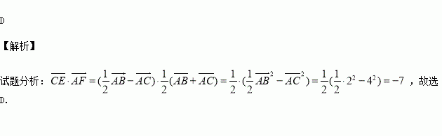
科目:高中数学 来源:2015-2016学年重庆市高一4月月考数学试卷(解析版) 题型:选择题

已知,则= ( )

A. B. C. D.

查看答案和解析>>

科目:高中数学 来源:2015-2016学年河北冀州中学高一下首次月考理科数学卷(解析版) 题型:选择题

已知函数,若,则的值为()

A.0 B.-1 C.-2 D.3

查看答案和解析>>

科目:高中数学 来源:2016届江西省九江市高三下学期三模理科数学试卷(解析版) 题型:填空题

已知数列各项均不为,其前项和为,且,则______.

查看答案和解析>>

科目:高中数学 来源:2016届江西省九江市高三下学期三模理科数学试卷(解析版) 题型:选择题

已知函数满足,则( )

A. B. C. D.

查看答案和解析>>

科目:高中数学 来源:2016届云南省高三适应性月考八文科数学试卷(解析版) 题型:解答题

如图,上的一点,内接于圆,且的中点,的延长线交于点

证明:(1)是圆的切线;(2).

查看答案和解析>>

科目:高中数学 来源:2016届云南省高三适应性月考八文科数学试卷(解析版) 题型:填空题

已知实数满足条件,则的取值范围是 .

查看答案和解析>>

科目:高中数学 来源:2016届云南省高三适应性月考八理科数学试卷(解析版) 题型:解答题

如图,上的一点,内接于圆,且的中点,的延长线交于点,证明:

(1)是圆的切线;

(2).

查看答案和解析>>

科目:高中数学 来源:2016届西藏日喀则一中高三下学期二模文科数学试卷(解析版) 题型:选择题

是虚数单位,若复数是纯虚数,则( )

A.-1 B.1 C.-2 D.2

查看答案和解析>>

同步练习册答案