精英家教网 > 高中数学 > 题目详情
已知曲线C上任意一点M到点F(0,1)的距离比它到直线l:y=﹣2的距离小1.
(1)求曲线C的方程;
(2)过点P(2,2)的直线与曲线C交于A、B两点,设.当△AOB的面积为时(O为坐标原点),求λ的值.
解:(1)∵点M到点F(1,0)的距离比它到直线l:y=﹣2的距离小于1,
∴点M在直线l的上方,点M到F(1,0)的距离与它到直线l′:y=﹣1的距离相等,
∴点M的轨迹C是以F为焦点,l′为准线的抛物线,
所以曲线C的方程为x2=4y.
(2)当直线m的斜率不存在时,它与曲线C只有一个交点,不合题意,
设直线m的方程为y﹣2=k(x﹣2),即y=kx+(2﹣2k),
代入x2=4y,得x2﹣4kx+8(k﹣1)=0,(*)
△=16(k2﹣2k+2)>0对k∈R恒成立,
所以,直线m与曲线C恒有两个不同的交点,
设交点A,B的坐标分别为A(x1,y1),B(x2,y2),
则x1+x2=4k,x1x2=8(k﹣1),
∵|AB|==
         =4
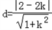
点O到直线m的距离
=4|k﹣1|●=4

∴4=4
∴(k﹣1)4+(k﹣1)2﹣2=0,
∴(k﹣1)2=1,或(k﹣1)2=﹣2(舍去),
∴k=0,或k=2.
当k=0时,方程(*)的解为
,则
,则
当k=2时,方程(*)的解为4
,则
,则=3﹣2
所以,,或
练习册系列答案
相关习题

科目:高中数学 来源: 题型:

已知曲线C上任意一点M到点F(1,0)的距离比它到直线l:x=-2的距离小1.
(1)求曲线C的方程;
(2)斜率为1的直线l过点F,且与曲线C交与A、B两点,求线段AB的长.

查看答案和解析>>

科目:高中数学 来源: 题型:

已知曲线C上任意一点M到点F(0,1)的距离比它到直线l:y=-2的距离小1.
(1)求曲线C的方程;
(2)过点P(2,2)的直线与曲线C交于A、B两点,设
AP
PB
.当△AOB的面积为4
2
时(O为坐标原点),求λ的值.

查看答案和解析>>

科目:高中数学 来源: 题型:

在平面直角坐标系xOy中,已知曲线C上任意一点到点M(0,
1
2
)的距离与到直线y=-
1
2
的距离相等.
(Ⅰ)求曲线C的方程;
(Ⅱ)设A1(x1,0),A2(x2,0)是x轴上的两点(x1+x2≠0,x1x2≠0),过点A1,A2分别作x轴的垂线,与曲线C分别交于点A1′,A2′,直线A1′A2′与x轴交于点A3(x3,0),这样就称x1,x2确定了x3.同样,可由x2,x3确定了x4.现已知x1=6,x2=2,求x4的值.

查看答案和解析>>

科目:高中数学 来源: 题型:

(2012•松江区三模)在平面直角坐标系中,O为坐标原点.已知曲线C上任意一点P(x,y)(其中x≥0)到定点F(1,0)的距离比它到y轴的距离大1,直线l与曲线C相交于不同的A,B两点.
(1)求曲线C的轨迹方程;
(2)若直线l经过点F(1,0),求
OA
OB
的值;
(3)若
OA
OB
=-4
,证明直线l必过一定点,并求出该定点.

查看答案和解析>>

科目:高中数学 来源: 题型:

在平面直角坐标系中,O为坐标原点.已知曲线C上任意一点P(x,y)(其中x≥0)到定点F(1,0)的距离比它到y轴的距离大1.
(1)求曲线C的轨迹方程;
(2)若过点F(1,0)的直线l与曲线C相交于不同的A,B两点,求
OA
OB
的值;
(3)若曲线C上不同的两点M、N满足
OM
MN
=0
,求|
ON
|
的取值范围.

查看答案和解析>>

同步练习册答案