精英家教网 > 高中数学 > 题目详情

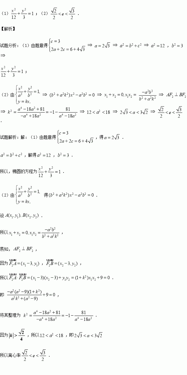
已知椭圆的左、右焦点分别为F1(-3,0),F2(3,0),直线y=kx与椭圆交于A、B两点.

(1)若三角形AF1F2的周长为,求椭圆的标准方程;

(2)若|k|>,且以AB为直径的圆过椭圆的右焦点,求椭圆离心率e的取值范围.

练习册系列答案
相关习题

科目:高中数学 来源:2017届河南安阳市高三9月调研测试数学(文)试卷(解析版) 题型:选择题

双曲线)的焦距为( )

A. B. C. D.

查看答案和解析>>

科目:高中数学 来源:2016届山西右玉一中高三冲刺压轴卷四数学(文)试卷(解析版) 题型:选择题

已知函数是奇函数,当,且,则的值为( )

A. B.3 C.9 D.

查看答案和解析>>

科目:高中数学 来源:2016届山西右玉一中高三冲刺压轴卷四数学(理)试卷(解析版) 题型:选择题

已知圆截直线所得的弦的长度为,则等于( )

A.2 B.6 C.2或6 D.

查看答案和解析>>

科目:高中数学 来源:2016届山西右玉一中高三冲刺压轴卷四数学(理)试卷(解析版) 题型:选择题

在区间上任取一数,则的概率是( )

A. B. C. D.

查看答案和解析>>

科目:高中数学 来源:2016届青海西宁五中四中十四中高三下联考数学(文)试卷(解析版) 题型:填空题

已知三棱锥P-ABC,若PA,PB,PC两两垂直,且PA = 2,PB = PC = 1,则三棱锥P-ABC的外接球的表面积为__________.

查看答案和解析>>

科目:高中数学 来源:2016届青海西宁五中四中十四中高三下联考数学(文)试卷(解析版) 题型:选择题

等比数列的前成等差数列,若=1,则为( )

A.15 B.8 C.7 D.16

查看答案和解析>>

科目:高中数学 来源:2016-2017学年河北冀州市高二上月考二文数学试卷(解析版) 题型:填空题

___________.

查看答案和解析>>

科目:高中数学 来源:2016-2017学年河北冀州市高二上月考二理数学试卷(解析版) 题型:选择题

已知函数的定义域为,且为偶函数,则实数的值可以是( )

A. B.4 C.6 D.2

查看答案和解析>>

同步练习册答案