精英家教网 > 高中数学 > 题目详情

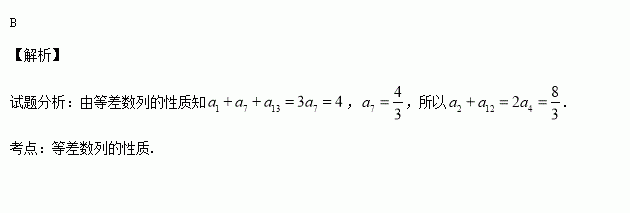
数列为等差数列,且,则的值为( )

A. B. C. D.

练习册系列答案
相关习题

科目:高中数学 来源:2014-2015学年云南省蒙自市高一上学期期末考试数学试卷(解析版) 题型:选择题

已知三个数,,则的大小关系是( )

A. B.

C. D.

查看答案和解析>>

科目:高中数学 来源:2014-2015学年云南省蒙自市高二上学期期末考试数学试卷(解析版) 题型:选择题

上随机取一个实数,则取到的实数是负数的概率为( )

A. B. C. D.1

查看答案和解析>>

科目:高中数学 来源:2014-2015学年河北省石家庄市高三下学期二模考试文科数学试卷(解析版) 题型:填空题

设点P、Q分别是曲线是自然对数的底数)和直线上的动点,则P、Q 两点间距离的最小值为

查看答案和解析>>

科目:高中数学 来源:2014-2015学年河北省石家庄市高三下学期二模考试文科数学试卷(解析版) 题型:选择题

执行下方的程序框图,如果输入的,那么输出的的值为 ( )

A.

B.

C.

D.

查看答案和解析>>

科目:高中数学 来源:2014-2015学年河北省石家庄市高三下学期二模考试理科数学试卷(解析版) 题型:解答题

(本小题满分10分)选修4-4:坐标系与参数方程

在平面直角坐标系中,直线的参数方程为参数),以坐标原点为极点,轴正半轴为极轴建立极坐标系,曲线C的极坐标方程为:.

(1)直线的参数方程化为极坐标方程;

(2)求直线的曲线交点的极坐标(

查看答案和解析>>

科目:高中数学 来源:2014-2015学年河北省石家庄市高三下学期二模考试理科数学试卷(解析版) 题型:填空题

在平面直角坐标系中有一点列,点在函数的图象上,又点构成等腰三角形,且

若对,以为边长能构成一个三角形,则的取值范围是

查看答案和解析>>

科目:高中数学 来源:2014-2015学年北京市朝阳区高三第二次综合练习文科数学试卷(解析版) 题型:解答题

已知椭圆,为坐标原点,直线与椭圆交于两点,且

(Ⅰ)若直线平行于轴,求的面积;

(Ⅱ)若直线始终与圆相切,求的值.

查看答案和解析>>

科目:高中数学 来源:2014-2015学年吉林省高二下学期月考理科数学试卷(解析版) 题型:解答题

(本小题满分10分)某商店根据以往某种新产品的销售记录,绘制了日销售量的频率分布直方图,如图所示.将日销售量落入各组的频率视为概率,并假设每天的销售量相互独立.

(1)估计日销售量的众数;

(2)求在未来连续3天里,有连续2天的日销售量都不低于100个且另1天的日销售量低于50个的概率;

(3)用X表示在未来3天里日销售量不低于100个的天数,求随机变量X的分布列.

查看答案和解析>>

同步练习册答案