精英家教网 > 高中数学 > 题目详情

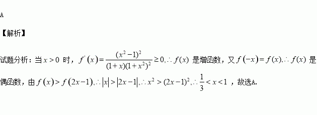
设函数,则使得成立的的范围是( )

A. B.

C. D.

练习册系列答案
相关习题

科目:高中数学 来源:2017届江西九江地区高三七校联考数学(理)试卷(解析版) 题型:选择题

已知的导函数,若,且,则的最小值为( )

A. B. C. D.

查看答案和解析>>

科目:高中数学 来源:2017届湖南石门县一中高三8月单元测数学(理)试卷(解析版) 题型:填空题

已知函数在区间上是增函数, 求实数的取值范围是

查看答案和解析>>

科目:高中数学 来源:2017届湖南石门县一中高三8月单元测数学(文)试卷(解析版) 题型:解答题

已知函数.

(1)讨论的单调性;

(2)若上恒成立,求所有实数的值.

查看答案和解析>>

科目:高中数学 来源:2017届湖南石门县一中高三8月单元测数学(文)试卷(解析版) 题型:选择题

定义在上的函数是其导数, 且满足,,则不等式(其中为自然对数的底数) 的解集为( )

A. B.

C. D.

查看答案和解析>>

科目:高中数学 来源:2017届湖南石门县一中高三8月单元测数学(文)试卷(解析版) 题型:选择题

已知集合,则( )

A. B. C. D.

查看答案和解析>>

科目:高中数学 来源:2016届江西新余市高三第二次模拟数学(文)试卷(解析版) 题型:解答题

在一次文、理学习倾向的调研中,对高一年段1000名学生进行文综、理综各一次测试(满分均为300分).测试后,随机抽取若干名学生成绩,记理综成绩为,文综成绩为,将值分组统计制成下表:

分组

[0,20)

[20,40)

[40,60)

[60,80)

[80,100)

[100,120)

[120,140]

频数

4

18

42

66

48

20

2

并将其中女生的值分布情况制成频率分布直方图(如图所示).

(1)若已知直方图中[60,80)频数为25,试分别估计全体学生中,的男、女生人数;

(2)记的平均数为,如果称为整体具有学科学习倾向,试估计高一年段女生的值(同一组中的数据用该组区间中点值作代表),并判断高一年段女生是否整体具有显著学科学习倾向.

查看答案和解析>>

科目:高中数学 来源:2016届江西新余市高三第二次模拟数学(文)试卷(解析版) 题型:选择题

集合,集合,则等于( )

A. B. C. D.

查看答案和解析>>

科目:高中数学 来源:2017届河南百校联盟高三9月质监乙卷数学(理)试卷(解析版) 题型:选择题

在等差数列中,,公差为,则“”是“成等比数列”的( )

A.充分不必要条件 B.必要不充分条件

C.充要条件 D.既不充分也不必要条件

查看答案和解析>>

同步练习册答案