精英家教网 > 高中数学 > 题目详情

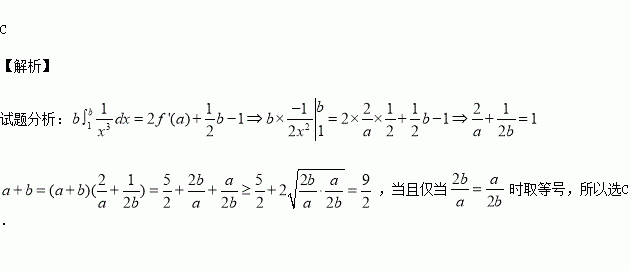
已知的导函数,若,且,则的最小值为( )

A. B. C. D.

练习册系列答案
相关习题

科目:高中数学 来源:2017届山东省高三第一次诊断数学(文)试卷(解析版) 题型:填空题

已知双曲线的左、右焦点分别是,正三角形的一边与双曲线左支交于点,且,则双曲线的离心率为

查看答案和解析>>

科目:高中数学 来源:2017届江西九江地区高三七校联考数学(文)试卷(解析版) 题型:解答题

已知

(1)若的充分不必要条件,求实数的取值范围;

(2)若“非”是“非”的充分不必要条件,求实数的取值范围.

查看答案和解析>>

科目:高中数学 来源:2017届江西九江地区高三七校联考数学(理)试卷(解析版) 题型:解答题

已知函数为自然对数的底)时取得极值且有两个零点.

(1)求实数的取值范围;

(2)记函数的两个零点为,证明:

查看答案和解析>>

科目:高中数学 来源:2017届江西九江地区高三七校联考数学(理)试卷(解析版) 题型:填空题

若函数,且)的值域是,则实数的取值范围是________.

查看答案和解析>>

科目:高中数学 来源:2017届江西九江地区高三七校联考数学(理)试卷(解析版) 题型:选择题

已知函数,定义函数是( )

A.奇函数 B.偶函数

C.既是奇函数,又是偶函数 D.非奇非偶函数

查看答案和解析>>

科目:高中数学 来源:2017届江西鹰潭一中高三上学期月考二数学(理)试卷(解析版) 题型:解答题

中,内角的对边长分别为,已知,且,求

查看答案和解析>>

科目:高中数学 来源:2017届江西鹰潭一中高三上学期月考二数学(理)试卷(解析版) 题型:选择题

设函数,且函数为偶函数,则( )

A.6 B.-6 C.2 D.-2

查看答案和解析>>

科目:高中数学 来源:2017届湖南石门县一中高三8月单元测数学(文)试卷(解析版) 题型:选择题

设函数,则使得成立的的范围是( )

A. B.

C. D.

查看答案和解析>>

同步练习册答案