精英家教网 > 高中数学 > 题目详情
已知a,b,c分别是三角形ABC的角A、B、C所对边,且a,b,c成等差数列,公差d≠0;
(1)求证:不可能成等差数列.
(2)求证:0°<B<60°.
【答案】分析:(1)成等差数列,则有,从而得到 a=c,这与已知d≠0相矛盾.
(2)利用余弦定理求出cosB的值,再利用基本不等式证明 cosB>,从而证得0°<B<60°.
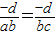
解答:解:(1)证明:成等差数列,则有,从而
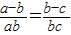
因为a,b,c成等差数列,d≠0;所以a-b=b-c=-d,
,从而ab=bc   即a=c,这与已知d≠0相矛盾.
所以不可能成等差数列.
(2)∵ 
=
又因为B为三角形内角,所以,0°<B<60°.
点评:本题主要考查用反证法证明数学命题,推出矛盾,是解题的关键和难点.还考查利用余弦定理和基本不等式证明不等式,
属于中档题.
练习册系列答案
相关习题

科目:高中数学 来源: 题型:

已知a、b、c分别是△ABC三个内角A、B、C的对边.
(1)若b2=ac,求角B的范围.
(2)若acosA=bcosB,试判断△ABC的形状,并证明你的结论.

查看答案和解析>>

科目:高中数学 来源: 题型:

已知a,b,c分别是△ABC的三个内角A,B,C所对的边,若a=1,b=
3
,A+C=2B,则sinC=
 

查看答案和解析>>

科目:高中数学 来源: 题型:

已知a、b、c分别是△ABC的三个内角A、B、C所对的边,若
cosB
cosC
=-
b
2a+c
,则B=
 

查看答案和解析>>

科目:高中数学 来源: 题型:

已知a,b,c分别是△ABC中角A,B,C的对边,且sin2A+sin2C-sin2B=sinAsinC.
 (1)求角B的大小;
 (2)若c=3a,求tanA的值.

查看答案和解析>>

科目:高中数学 来源: 题型:

已知a,b,c分别是△ABC的三个内角A,B,C的对边,且满足2asinB-
3
b=0.
(Ⅰ)求角A的大小;
(Ⅱ)当A为锐角时,求函数y=
3
sinB+sin(C-
π
6
)的最大值.

查看答案和解析>>

同步练习册答案