精英家教网 > 高中数学 > 题目详情

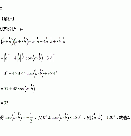
已知 ,则的夹角为( )

A. 30° B. 60° C. 120° D. 150°

练习册系列答案
相关习题

科目:高中数学 来源:2015-2016学年广东东莞东华高中高二4月月考理科数学卷(解析版) 题型:选择题

已知函数,把函数的零点按从小到大的顺序排列成一个数列,则该数列的通项公式为( )

A. B. C. D.

查看答案和解析>>

科目:高中数学 来源:2015-2016学年黑龙江省高一上学期期末考试数学试卷(解析版) 题型:填空题

已知扇形的圆心角为2弧度,面积为4,则该扇形的弧长为__________.

查看答案和解析>>

科目:高中数学 来源:2015-2016学年江西省抚州市高一上学期期末质量检测数学试卷(解析版) 题型:解答题

已知向量

(1)若点三点共线,求的值;

(2)若为直角三角形,且为直角,求的值.

查看答案和解析>>

科目:高中数学 来源:2015-2016学年江西省抚州市高一上学期期末质量检测数学试卷(解析版) 题型:选择题

已知函数上的偶函数,且在区间是单调递增的,是锐角的三个内角,则下列不等式中一定成立的是

A. B.

C. D.

查看答案和解析>>

科目:高中数学 来源:2015-2016学年江西省抚州市高一上学期期末质量检测数学试卷(解析版) 题型:选择题

设集合 ,则为( )

A. B.

C. D.

查看答案和解析>>

科目:高中数学 来源:2015-2016学年江西省南昌市等高一上学期期末联考数学试卷(解析版) 题型:填空题

已知A,B,C三点的坐标分别是,若,则=__________.

查看答案和解析>>

科目:高中数学 来源:2015-2016学年山东省菏泽市高一上学期期末考试数学试卷(解析版) 题型:解答题

如图,四凌锥中,底面为平行四边形,AP=1,AD=,PA⊥平面ABCD,E为PD的中点.

(1)证明:PB∥平面AEC;

(2)当PC⊥BD时,求PB的长;

(3)若底面ABCD为矩形,三棱椎P-ABD的体积

求二面角P-BC-A的余弦值.

查看答案和解析>>

科目:高中数学 来源:2016届江苏省淮安市高三5月信息卷(最后一模)考试数学试卷(解析版) 题型:填空题

右图是一个算法流程图,则输出的值是

查看答案和解析>>

同步练习册答案