精英家教网 > 高中数学 > 题目详情

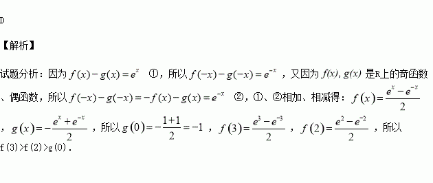
若函数分别是R上的奇函数、偶函数,且满足,则有( )

A.

B.

C.

D.

练习册系列答案
相关习题

科目:高中数学 来源:2016届浙江省高三上学期期中理科数学试卷(解析版) 题型:填空题

某种平面分形图如下图所示,一级分形图是由一点出发的三条线段,长度均为1,两两夹角为; 二级分形图是在一级分形图的每条线段的末端出发再生成两条长度为原来的线段,且这两条线段与原线段两两夹角为;……;依此规律得到级分形图.

(1)4级分形图中共有______条线段;

(2)级分形图中所有线段长度之和为 .

查看答案和解析>>

科目:高中数学 来源:2015-2016学年重庆市高一上期中数学试卷(解析版) 题型:选择题

集合,则( )

A. B. C. D.

查看答案和解析>>

科目:高中数学 来源:2015-2016学年浙江省高一4-6班上期中数学卷(解析版) 题型:填空题

函数的单调增区间为 ,值域为

查看答案和解析>>

科目:高中数学 来源:2015-2016学年浙江慈溪中学高二2-10班上期中数学卷(解析版) 题型:选择题

三棱锥中,,若是该三棱锥外部(不含表面)的一点,则下列命题正确的是( )

① 存在无数个点,使

② 存在唯一点,使四面体为正三棱锥;

③ 存在无数个点,使

④ 存在唯一点,使四面体有三个面为直角三角形.

A.①③ B.①④ C.①③④ D.①②④

查看答案和解析>>

科目:高中数学 来源:2015-2016学年四川树德、雅安中学高一10月考试数学卷(解析版) 题型:选择题

汽车的“燃油效率”是指汽车每消耗1升汽油行驶的里程,下图描述了甲、乙、丙三辆汽车在不同速度下的燃油效率情况.下列叙述中正确的是( )

A.消耗1升汽油,乙车最多可行驶5千米

B.以相同速度行驶相同路程,三辆车中,甲车消耗汽油最多

C.甲车以80千米/小时的速度行驶1小时,消耗10升汽油

D.某城市机动车最高限速80千米/小时.相同条件下,在该市用丙车比用乙车更省油

查看答案和解析>>

科目:高中数学 来源:2015-2016学年上海师大附中高一上期中数学试卷(解析版) 题型:填空题

已知全集,且,,则

集合

查看答案和解析>>

科目:高中数学 来源:2016届浙江省富阳市高三上学期第二次质量检测理科数学试卷(解析版) 题型:选择题

等比数列{an}的首项为2,项数为奇数,其奇数项之和为,偶数项之和为,这个等比数列前n项的积为Tn(n≥2),则Tn的最大值为( )

A. B. C.1 D.2

查看答案和解析>>

科目:高中数学 来源:2015-2016学年江西新余一中高二上第一次段考理数学卷(解析版) 题型:选择题

设等差数列{an}的前n项和为Sn,且满足S19>0,S20<0,则使Sn取得最大项的n为( )

A.8 B.9 C.10 D.11

查看答案和解析>>

同步练习册答案