精英家教网 > 高中数学 > 题目详情

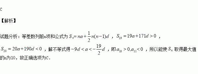
设等差数列{an}的前n项和为Sn,且满足S19>0,S20<0,则使Sn取得最大项的n为( )

A.8 B.9 C.10 D.11

练习册系列答案
相关习题

科目:高中数学 来源:2015-2016学年云南省高一上期中数学试卷(解析版) 题型:选择题

若函数分别是R上的奇函数、偶函数,且满足,则有( )

A.

B.

C.

D.

查看答案和解析>>

科目:高中数学 来源:2015-2016学年甘肃省高一上二段段中考试数学卷(解析版) 题型:解答题

如图,三棱柱的三视图,主视图和侧视图是全等的矩形,俯视图是等腰直角三角形,点M是A1B1的中点.

(1)求证:B1C//平面AC1M;

(2)求证:平面AC1M⊥平面AA1B1B.

查看答案和解析>>

科目:高中数学 来源:2015-2016学年江西省吉安市高二上二段考理科数学卷(解析版) 题型:选择题

如图,在体积为2的三棱锥侧棱AB、AC、AD上分别取点E、F、G使,记O为三平面BCG、CDE、DBF的交点,则三棱锥的体积等于( )

A. B. C. D.

查看答案和解析>>

科目:高中数学 来源:2015-2016学年福建省高二上期中理科数学试卷(解析版) 题型:选择题

关于的不等式的解集为,且这三个数可适当排序后成等差数列,也可适当排序后成等比数列,则的值等于( )

A.6 B.7 C.8 D.9

查看答案和解析>>

科目:高中数学 来源:2015-2016学年广西省高一上段考数学试卷(解析版) 题型:选择题

三个数的大小关系为( )

A. B. C. D.

查看答案和解析>>

科目:高中数学 来源:2015-2016学年青海省西宁市高一上期中数学试卷(解析版) 题型:选择题

已知集合U={1,2,3,4,5},A={1,2,3},B={2,5},则A∩=( )

A.{2} B.{2,3} C.{3} D.{1,3}

查看答案和解析>>

科目:高中数学 来源:2015-2016学年河南省高一12月月考数学试卷(解析版) 题型:解答题

已知定义在上的函数满足,当时,,且

(Ⅰ)求的值;

(Ⅱ)当时,关于的方程有解,求的取值范围.

查看答案和解析>>

科目:高中数学 来源:2015-2016学年湖南省衡阳市高二上期中理科数学试卷(解析版) 题型:填空题

如图,抛物线和圆,其中,直线经过的焦点,依次交四点,则的值为__________.

查看答案和解析>>

同步练习册答案