精英家教网 > 高中数学 > 题目详情

设函数,其中,角的顶点与坐标原点重合,始边与轴非负半轴重合,终边经过点,且.

(1)若点的坐标为(-),求的值;

(2)若点为平面区域上的一个动点,试确定角的取值范围,并求函数的值域.

 

【答案】

(1);(2).

【解析】

试题分析:(1)由三角函数的定义求解,进而求的值;(2)由平面区域的可行域可得角的范围,再求解的值域,本题将三角化简求值与线性规划知识联系在一起,具有新颖性.

试题解析:(1)由三角函数的定义,得

     4分

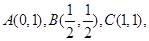
(2)作出平面区域(即三角形区域ABC)如图所示,

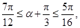
其中于是      7分

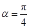
故当,即时,取得最小值,且最小值为1.

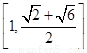
,即时,取得最大值,且最大值为.

故函数的值域为.                     12分

考点:1.三角化简求值;2.三角函数的值域;3.线性规划可行域.

 

练习册系列答案
相关习题

科目:高中数学 来源: 题型:

设函数f(θ)=
3
sinθ+cosθ
,其中,角θ的顶点与坐标原点重合,始边与x轴非负半轴重合,终边经过点P(x,y),且0≤θ≤π.
(Ⅰ)若点P的坐标为(
1
2
3
2
)
,求f(θ)的值;
(Ⅱ)若点P(x,y)为平面区域Ω:
x+y≥1
x≤1
y≤1
上的一个动点,试确定角θ的取值范围,并求函数f(θ)的最小值和最大值.

查看答案和解析>>

科目:高中数学 来源: 题型:

设函数f(α)=sinα+
3
cosα,其中,角α的顶点与坐标原点重合,始边与x轴非负半轴重合,终边经过点P(x,y),且0≤α≤π.
(1)若P点的坐标为(
3
,1),求f(α)的值;
(2)若点P(x,y)为平面区域
x+y≥1
y≥x
y≤1
上的一个动点,试确定角α的取值范围,并求函数f(α)的最小值和最大值.

查看答案和解析>>

科目:高中数学 来源:2014届山东省高三10月份阶段检测理科数学试卷(解析版) 题型:解答题

设函数,其中,角的顶点与坐标原点重合,始边与轴非负半轴重合,终边经过点,且.

(1)若点的坐标为(-),求的值;

(2)若点为平面区域上的一个动点,试确定角的取值范围,并求函数的值域.

 

查看答案和解析>>

科目:高中数学 来源: 题型:

设函数,其中,角的顶点与坐标原点重合,始边与x轴非负半轴重合,终边经过点P(x,y),且0≤

(1)若点P的坐标为,求的值;

(2)若点P(x,y)为平面区域上的一个动点,试确定角的取值范围,并求函数的最小值和最大值.

查看答案和解析>>

同步练习册答案