精英家教网 > 高中数学 > 题目详情

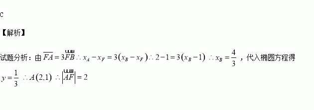
已知椭圆C:+y2=1的焦点F(1,0),直线l:x=2,点A∈l,线段AF交C于点B,若=3,则||=( )

A. B.2 C. D.3

练习册系列答案
相关习题

科目:高中数学 来源:2016届河南省原名校高三上学期第一次联考理科数学试卷(解析版) 题型:选择题

已知,则( )

A. B.

C. D.

查看答案和解析>>

科目:高中数学 来源:2015-2016学年江苏省泰兴市高二上学期期中考试数学试卷(解析版) 题型:填空题

若椭圆上一点到左准线的距离为5,则该点到右焦点的距离为

查看答案和解析>>

科目:高中数学 来源:2015-2016学年湖北省高二上学期期中理科数学试卷(解析版) 题型:选择题

命题:“”的否定为:( )

A. B.

C. D.

查看答案和解析>>

科目:高中数学 来源:2015-2016学年河南省英文学校高一上学期期中考试数学试卷(解析版) 题型:选择题

设函数定义域为,且当时,,则有

A.

B.

C.

D.

查看答案和解析>>

科目:高中数学 来源:2015-2016学年广东省普宁市高一上学期期中考试数学试卷(解析版) 题型:填空题

直线被圆截得的弦长为________

查看答案和解析>>

科目:高中数学 来源:2015-2016学年甘肃省定西市高一上学期第一次月考数学试卷(解析版) 题型:解答题

(12分)已知函数是定义在(-1, 1)上的奇函数,且

(1)确定函数的解析式;

(2)用定义法判断函数的单调性;

(3)解不等式;

查看答案和解析>>

科目:高中数学 来源:2015-2016学年浙江省平湖市高一10月月考数学试卷(解析版) 题型:解答题

(本题8分)已知函数

(1)用单调性定义证明函数上是减函数;

(2)判断上的单调性(无需证明);

(3)若函数上的值域是,求的最大值和最小值.

查看答案和解析>>

科目:高中数学 来源:2015-2016学年福建厦门双十中学高二上期中理科数学试卷(解析版) 题型:解答题

(本小题满分12分)

已知实数,设函数

(Ⅰ)证明:f(x)≥2;

(Ⅱ)若,求a的取值范围.

查看答案和解析>>

同步练习册答案