精英家教网 > 高中数学 > 题目详情

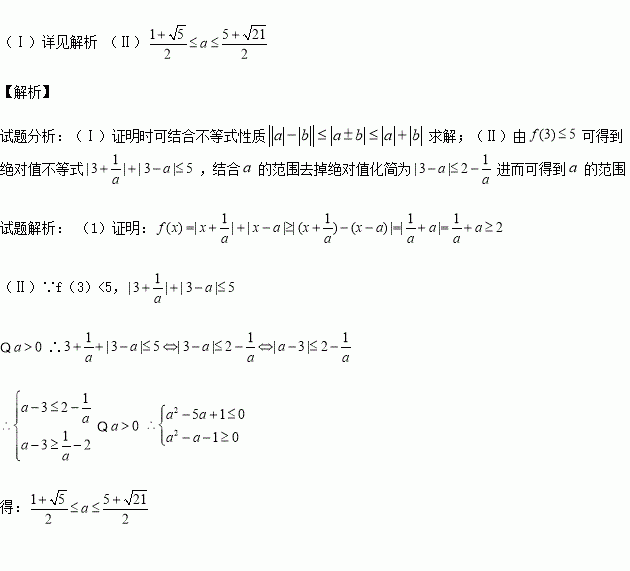
(本小题满分12分)

已知实数,设函数

(Ⅰ)证明:f(x)≥2;

(Ⅱ)若,求a的取值范围.

练习册系列答案
相关习题

科目:高中数学 来源:2015-2016学年广东省英德市高二上学期第一次月考理科数学试卷(解析版) 题型:选择题

已知椭圆C:+y2=1的焦点F(1,0),直线l:x=2,点A∈l,线段AF交C于点B,若=3,则||=( )

A. B.2 C. D.3

查看答案和解析>>

科目:高中数学 来源:2015-2016学年四川成都市六校高一上学期期中联考数学试卷(解析版) 题型:解答题

(本小题满分12分)甲厂根据以往的生产销售经验得到下面有关生产销售的统计规律:每生产产品(百台),其总成本为(万元),其中固定成本为万元,并且每生产1百台的生产成本为1万元(总成本固定成本+生产成本),销售收入,假定该产品产销平衡(即生产的产品都能卖掉),根据上述统计规律,请完成下列问题

(1)写出利润函数的解析式(利润销售收入—总成本);

(2)甲厂生产多少台新产品时,可使盈利最多?

查看答案和解析>>

科目:高中数学 来源:2015-2016学年河北省高一上学期第一次月考数学试卷(解析版) 题型:填空题

下列几个命题:

①方程若有一个正实根,一个负实根,则

②函数是偶函数,但不是奇函数;

③函数的值域是,则函数的值域为

④ 一条曲线和直线的公共点个数是,则的值不可能是

其中正确的有______.

查看答案和解析>>

科目:高中数学 来源:2015-2016学年福建厦门双十中学高二上期中文科数学试卷(解析版) 题型:解答题

(本小题满分12分)

已知△ABC的内角A、B、C的对边分别为a,b,c,已知a=bcosC+csinB.

(1)求B;

(2)若b=2,求△ABC面积的最大值.

查看答案和解析>>

科目:高中数学 来源:2014-2015年河北保定一中高二下第一次段考文数学试卷(解析版) 题型:选择题

设△的三边长分别为的面积为,内切圆半径为,则.类比这个结论可知:四面体的四个面的面积分别为内切球的半径为,四面体的体积为,则=( )

A.

B.

C.

D.

查看答案和解析>>

科目:高中数学 来源:2014-2015年河北保定一中高二下第一次段考理数学试卷(解析版) 题型:选择题

=(1-t,1-t,t),=(2,t,t),则||的最小值是( )

A. B. C. D.

查看答案和解析>>

科目:高中数学 来源:2014-2015学年广东省高二6月月考理科数学试卷(解析版) 题型:填空题

已知随机变量服从正态分布,若,则________.

查看答案和解析>>

科目:高中数学 来源:2016届浙江省高三期中理科数学试卷(解析版) 题型:填空题

已知实数满足,则的最大值为

查看答案和解析>>

同步练习册答案