精英家教网 > 高中数学 > 题目详情
在某海滨城市附近海面有一台风,据监测,当前台风中心位于城市O(如图)的东偏南方向300km的海面P处,并以20km/h的速度向西偏北45°方向移动,台风侵袭的范围为圆形区域,当前半径为60km,并以10km/h的速度不断增大,问几小时后该城市开始受到台风的侵袭?

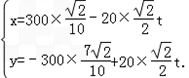
解:如图建立坐标系:以O为原点,正东方向为x轴正向.
在时刻:t(h)台风中心P(x,y)的坐标为
此时台风侵袭的区域是(x﹣x)2+(y﹣y)2≤[r(t)]2,其中r(t)=10t+60,
若在t时,该城市O受到台风的侵袭,则有(0﹣x)2+(0﹣y)2≤(10t+60)2

即t2﹣36t+288≤0,解得12≤t≤24.
答:12小时后该城市开始受到台风气侵袭.

练习册系列答案
  • 灿烂在六月模拟强化测试精编系列答案
  • 测试卷全新升级版系列答案
  • 测试新方案系列答案
  • 常德标准卷系列答案
  • 超级奥赛培优竞赛系列答案
  • 超级考卷系列答案
  • 超级培优系列答案
  • 超级英语系列答案
  • 晨光全优同步指导训练与检测系列答案
  • 成功宝典系列答案
  • 年级 高中课程 年级 初中课程
    高一 高一免费课程推荐! 初一 初一免费课程推荐!
    高二 高二免费课程推荐! 初二 初二免费课程推荐!
    高三 高三免费课程推荐! 初三 初三免费课程推荐!
    相关习题

    科目:高中数学 来源: 题型:

    精英家教网在某海滨城市附近海面有一台风,据监测,当前台风中心位于城市O(如图)的东偏南θ(cosθ=
    2
    10
    )
    方向300km的海面P处,并以20km/h的速度向西偏北45°方向移动,台风侵袭的范围为圆形区域,当前半径为60km,并以10km/h的速度不断增大,问几小时后该城市开始受到台风的侵袭?

    查看答案和解析>>

    科目:高中数学 来源: 题型:

    在某海滨城市附近海面有一台风,据监测,当前台风中心位于城市O(如图)的东偏南 θ(cosθ=
    2
    10
    )
    方向300km的海面P处,并以20km/h的速度向西偏北45°方向移动,台风侵袭的范围为圆形区域,当前半径为60km,并以10km/h的速度不断增大,问几小时后该城市开始受到台风的侵袭?受到台风的侵袭的时间有多少小时?

    查看答案和解析>>

    科目:高中数学 来源: 题型:

    (03年全国卷)(12分)

    在某海滨城市附近海面有一台风,据监测,当前台风中心位于城市O(如图)的东偏南方向300km的海面P处,并以20km/h的速度向西偏北方向移动,台风侵袭的范围为圆形区域,当前半径为60km,并以10km/h的速度不断增大,问几小时后该城市开始受到台风的侵袭?

    查看答案和解析>>

    科目:高中数学 来源: 题型:

    在某海滨城市附近海面有一台风.据监测,当前台风中心位于城市O的东偏南θ(cosθ=)方向300 km的海面P处,并以20 km/h的速度向西偏北45°方向移动.台风侵袭的范围为圆形区域,当前半径为60 km,并以10 km/h的速度不断增大.问几小时后该城市开始受到台风的侵袭?

    查看答案和解析>>

    科目:高中数学 来源:2014届吉林省高二上学期10月月考数学试卷(解析版) 题型:解答题

    在某海滨城市附近海面有一台风,据检测,当前台风中心位于城市O(如图)的东偏南方向300 km的海面P处,并以20 km / h的速度向西偏北的方向移动,台风侵袭的范围为圆形区域,当前半径为60 km ,并以10 km / h的速度不断增加,问几小时后该城市开始受到台风的侵袭?持续多长时间?

     

    查看答案和解析>>

    同步练习册答案