精英家教网 > 高中数学 > 题目详情

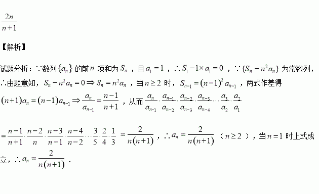
设数列项和,且为常数列,则 .

练习册系列答案
相关习题

科目:高中数学 来源:2015-2016学年江苏省高二下期中文科数学试卷(解析版) 题型:解答题

已知复数z=1+i,若=1-i,求实数a,b的值.

查看答案和解析>>

科目:高中数学 来源:2016届云南省高三下第七次月考理科数学试卷(解析版) 题型:解答题

已知.

(1)若对于公共定义域内的任意恒成立,求实数的取值范围;

(2)设有两个极值点,且,若恒成立,求实数的最大值.

查看答案和解析>>

科目:高中数学 来源:2016届云南省高三下第七次月考理科数学试卷(解析版) 题型:选择题

“牟合方盖”是我国古代数学家刘徽在研究球的体积的过程中构造的一个和谐优美的几何

体.它由完全相同的四个曲面构成,相对的两个曲面在同一个圆柱的侧面上,好似两个扣合(牟

合)在一起的方形伞(方盖).其直观图如图所示,图中四边形是为体现其直观性所作的辅助线.当

其正视图和侧视图完全相同时,它的俯视图可能是( )

查看答案和解析>>

科目:高中数学 来源:2016届辽宁大连八中、二十四中高三模拟文科数学试卷(解析版) 题型:解答题

设函数,且存在两个极值点,其中.

(1)求实数的取值范围;

(2)求在区间上的最小值;

(3)证明不等式:.

查看答案和解析>>

科目:高中数学 来源:2016届辽宁大连八中、二十四中高三模拟文科数学试卷(解析版) 题型:选择题

过抛物线的焦点的直线交抛物线于两点,分别过两点作准线的垂线,垂足分别为两点,以线段为直径的圆过点,则圆的方程为( )

A.

B.

C.

D.

查看答案和解析>>

科目:高中数学 来源:2016届辽宁大连八中、二十四中高三模拟文科数学试卷(解析版) 题型:选择题

已知向量,则( )

A.1 B.13 C. D.4

查看答案和解析>>

科目:高中数学 来源:2016届福建省高三最后模拟理科数学试卷(解析版) 题型:选择题

已知从点出发的三条射线两两成角,且分别与球相切于三点.若球的体积为,则两点间的距离为( )

(A) (B) (C)3 (D)

查看答案和解析>>

科目:高中数学 来源:2016届福建省泉州市高三5月质检理科数学试卷(解析版) 题型:填空题

正四棱锥中, 为底面的中心, 以为直径的球分别与交于,若球的表面积为,则四边形的面积等

查看答案和解析>>

同步练习册答案