设a>1,函数f(x)=2x3-3(a+1)x2+6ax,x∈[0,2].
(1)若f(x)在[1,2]上不单调,求a的取值范围;
(2)令M(a)为f(x)的最大值,求M(a)的表达式.
【答案】
分析:(1)对函数求导,求出函数的单调区间,根据函数的单调区间得到若f(x)在[1,2]上不单调,只要极值点出现在这个区间就可以,得到1<a<2.
(2)根据定义的M(a)为f(x)的最大值,写出不同区间上的表示式,根据不同区间上的表示式,写出分段函数.
解答:解:由于f'(x)=6x
2-6(a+1)x+6a=6(x-1)(x-a),
注意到a>1,所以f(x)在(0,1),(a,+∞)上递增,(1,a)上递减.
(1)根据f(x)的单调性,若f(x)在[1,2]上不单调,则1<a<2;
(2)根据f(x)的单调性,下面按a与2的大小关系分类:
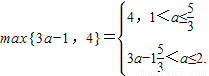
①当1<a≤2时,M(a)=maxf(1),
f(2)=

;
②当a>2时,M(a)=f(1)=3a-1.
综上所述,
点评:本题考查导数与函数的单调性,最值,本题解题的关键是看清题干中所给的a大于1的条件,写出正确的单调区间.