精英家教网 > 高中数学 > 题目详情

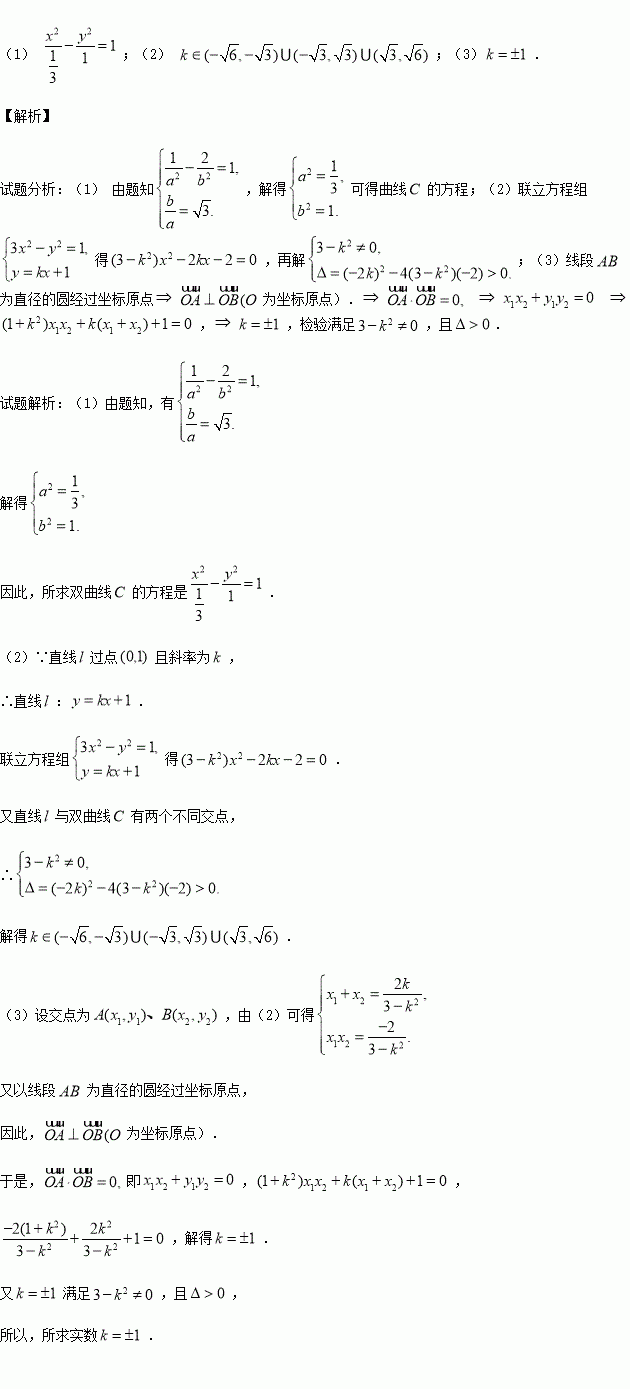
已知点在双曲线)上,且双曲线的一条渐近线的方程是

(1)求双曲线的方程;

(2)若过点且斜率为的直线与双曲线有两个不同交点,求实数的取值范围;

(3)设(2)中直线与双曲线交于两个不同点,若以线段为直径的圆经过坐标原点,求实数的值.

练习册系列答案
相关习题

科目:高中数学 来源:2015-2016学年宁夏六盘山高中高二下第二次月考文数学卷(解析版) 题型:选择题

是实数,则“”是“”的( )

A.充分而不必要条件 B.必要而不充分条件

C.充分必要条件 D.既不充分也不必要条件

查看答案和解析>>

科目:高中数学 来源:2015-2016学年辽宁省庄河市高一下期中文科数学试卷(解析版) 题型:选择题

若一个底面是正三角形的三棱柱的主视图如图所示,则其表面积为( )

A. B. C. D.10

查看答案和解析>>

科目:高中数学 来源:2015-2016学年辽宁省庄河市高一下期中理科数学试卷(解析版) 题型:选择题

已知函数,其中是实数,若,对恒成立,且,则的单调递增区间是( )

A. B.

C. D.

查看答案和解析>>

科目:高中数学 来源:2015-2016学年辽宁省庄河市高一下期中理科数学试卷(解析版) 题型:选择题

平面向量的夹角为60°,,则等于( )

A. B. C.4 D.12

查看答案和解析>>

科目:高中数学 来源:2015-2016年新疆兵团农二师华山中学高二下期中理数学卷(解析版) 题型:填空题

已知三棱锥中,,直线与底面所成角为,则此时三棱锥外接球的表面积为 .

查看答案和解析>>

科目:高中数学 来源:2015-2016年新疆兵团农二师华山中学高二下期中理数学卷(解析版) 题型:选择题

若某几何体的三视图(单位:cm)如图所示,其中左视图是一个边长为2的正三角形,则这个几何体的体积是( )

A.2cm2 B.cm3 C.3cm3 D.3cm3

查看答案和解析>>

科目:高中数学 来源:2015-2016学年广东中山一中高二下期中理科数学试卷(解析版) 题型:解答题

某食品企业一个月内被消费者投诉的次数用表示,椐统计,随机变量的概率分布列如下:

(Ⅰ)求的值和的数学期望;

(Ⅱ)假设一月份与二月份被消费者投诉的次数互不影响,求该企业在这两个月内共被消费者投诉次的概率.

查看答案和解析>>

科目:高中数学 来源:2016届黑龙江哈尔滨六中高三下四模考试文科数学试卷(解析版) 题型:解答题

设函数,已知曲线在点处的切线与直线垂直.

(1)求的值;

(2)求函数的极值点.

查看答案和解析>>

同步练习册答案