精英家教网 > 高中数学 > 题目详情

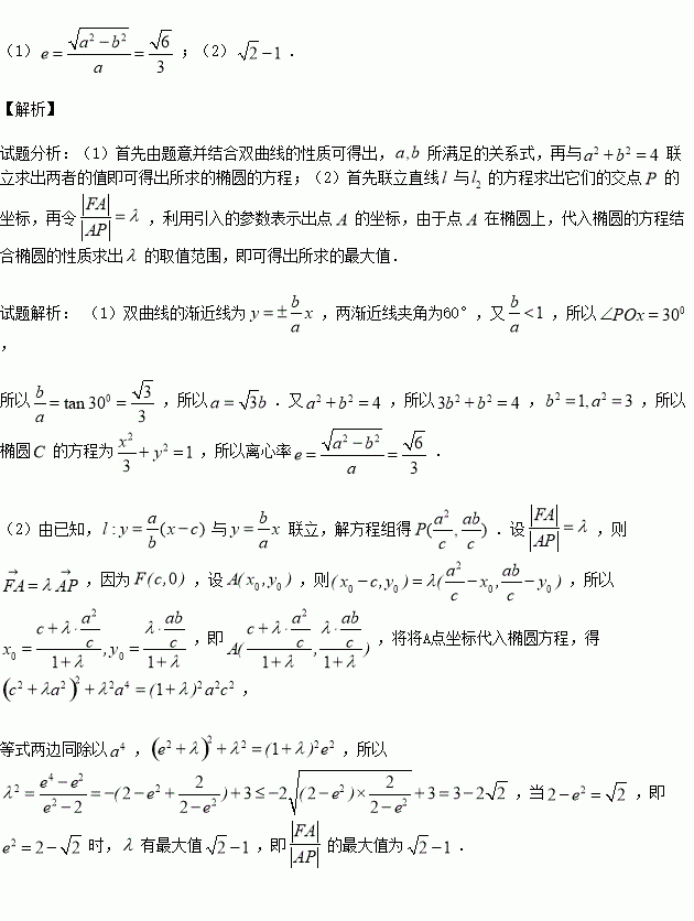
已知椭圆的方程为,双曲线的两条渐近线为,过椭圆的右焦点作直线,使,又l与交于点,设与椭圆的两个交点由上至下依次为

(1)当夹角为60°,双曲线的焦距为4时,求椭圆的方程及离心率;

(2)求的最大值.

练习册系列答案
相关习题

科目:高中数学 来源:2016届河北省高三上第五次月考理科数学试卷(解析版) 题型:选择题

某校高三理科实验班有5名同学报名参加甲、乙、丙三所高校的自主招生考试,每人限报一所

高校.若这三所高校中每个学校都至少有1名同学报考,那么这5名同学不同的报考方法种数共有( )

A.144种 B.150种 C.196种 D.256种

查看答案和解析>>

科目:高中数学 来源:2016届福建省高三上学期期中理科数学试卷(解析版) 题型:选择题

已知函数 ,且,则( )

A、 B、 C、 D、

查看答案和解析>>

科目:高中数学 来源:2015-2016学年西藏日喀则一中高二12月文科数学试卷(解析版) 题型:选择题

有5件产品,其中3件正品,2件次品,从中任取2件,则互斥而不对立的两个事件是( )

A.至少有1件次品与至多有1件正品

B.至少有1件次品与都是正品

C.至少有1件次品与至少有1件正品

D.恰有1件次品与恰有2件正品

查看答案和解析>>

科目:高中数学 来源:2015-2016学年辽宁省高二上期中文科数学试卷(解析版) 题型:解答题

分别为双曲线的左、右顶点,双曲线的实轴长为,焦点到渐近线的距离为

(1)求双曲线的方程;

(2)已知直线与双曲线的右支交于两点,且在双曲线的右支上存在点,使,求的值及点的坐标.

查看答案和解析>>

科目:高中数学 来源:2015-2016学年辽宁省高二上期中理科数学试卷(解析版) 题型:选择题

如果方程表示焦点在轴上的椭圆,则的取值范围是 ( )

A. B.

C. D.

查看答案和解析>>

科目:高中数学 来源:2015-2016学年江西省高一重点上期中数学卷(解析版) 题型:解答题

已知A={x|-1<x≤3},B={x|m≤x<1+3m}.

(1)当m=1时,求A∪B;

(2)若,求实数m的取值范围.

查看答案和解析>>

科目:高中数学 来源:2015-2016学年江西省高二上期中理科数学卷(解析版) 题型:解答题

函数的值域为恒成立,若为假,为真,求实数的取值范围。

查看答案和解析>>

科目:高中数学 来源:2015-2016学年贵州省凯里市高二上期末文科数学试卷(解析版) 题型:选择题

已知分别是双曲线的左,右焦点,左支上的一点,且,则( )

A.10 B.8 C.4 D.2

查看答案和解析>>

同步练习册答案