精英家教网 > 高中数学 > 题目详情

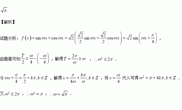
已知函数,若函数在区间内单调递增,且函数的图像关于直线对称,则的值

练习册系列答案
相关习题

科目:高中数学 来源:2014-2015学年浙江省等三校高二上学期期中考试数学试卷(解析版) 题型:解答题

已知函数

(1)若对于任意的,都有成立,求实数的取值范围;

(2)如果关于x的不等式f(x)?m有解,求实数m的取值范围.

查看答案和解析>>

科目:高中数学 来源:2015-2016学年河北省高一上学期第一次月考数学试卷(解析版) 题型:解答题

(满分12分)定义在上的函数,当时,,对任意的都有且对任意的,恒有

(1)求

(2)证明:函数上是增函数;

(3)若,求的取值范围.

查看答案和解析>>

科目:高中数学 来源:2015-2016学年福建厦门双十中学高二上期中理科数学试卷(解析版) 题型:选择题

若m<n,p<q且(p-m)(p-n)<0,(q-m)(q-n)<0,则m,n,p,q从小到大排列顺序是( )

A.p<m<n<q B.m<p<q<n C.p<q<m<n D.m<n<p<q

查看答案和解析>>

科目:高中数学 来源:2014-2015年河北保定一中高二下第一次段考理数学试卷(解析版) 题型:填空题

函数的单调递减区间是_________.

查看答案和解析>>

科目:高中数学 来源:2016届辽宁省大连市高三10月月考理科数学试卷(解析版) 题型:选择题

在△ABC中,角A,B,C所对的边分别是,且=( )

(A) (B) (C) (D)

查看答案和解析>>

科目:高中数学 来源:2014-2015学年广东省高二6月月考理科数学试卷(解析版) 题型:解答题

(本小题满分14分)已知点是椭圆上的任意一点,是它的两个焦点,为坐标原点,动点满足

(1)求动点的轨迹的方程;

(2)若与坐标轴不垂直的直线交轨迹于A,B两点且OA⊥OB,求三角形OAB面积S的取值范围.

查看答案和解析>>

科目:高中数学 来源:2015-2016年浙江宁波效实中学高二1,2班上期中数学卷(解析版) 题型:填空题

对一个各边长不相等的凸五边形的各边染色,每条边可以染红、黄、蓝三种颜色中的一种,但是不允许相邻的边染相同的颜色,则不同的染色方法共有 种.

查看答案和解析>>

科目:高中数学 来源:2016届江西省高三上学期期中理科数学试卷(解析版) 题型:选择题

是等差数列的前项和,若,则=( ).

A.5 B.7 C.9 D.11

查看答案和解析>>

同步练习册答案