精英家教网 > 高中数学 > 题目详情

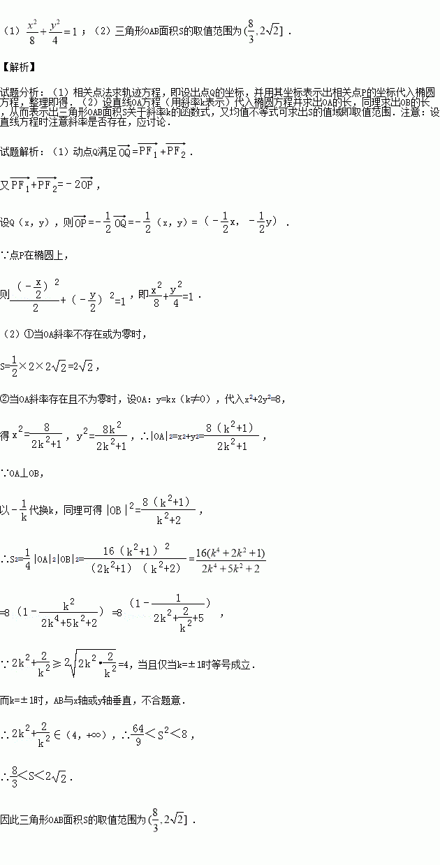
(本小题满分14分)已知点是椭圆上的任意一点,是它的两个焦点,为坐标原点,动点满足

(1)求动点的轨迹的方程;

(2)若与坐标轴不垂直的直线交轨迹于A,B两点且OA⊥OB,求三角形OAB面积S的取值范围.

练习册系列答案
相关习题

科目:高中数学 来源:2016届浙江省高三10月月考文科数学试卷(解析版) 题型:选择题

已知集合为( )

A. B. C. D.

查看答案和解析>>

科目:高中数学 来源:2015-2016学年福建厦门双十中学高二上期中文科数学试卷(解析版) 题型:选择题

已知正数满足,则 ( ).

A.4092 B.2046 C.1024 D.512

查看答案和解析>>

科目:高中数学 来源:2016届辽宁省大连市高三10月月考文科数学试卷(解析版) 题型:填空题

已知函数,若函数在区间内单调递增,且函数的图像关于直线对称,则的值

查看答案和解析>>

科目:高中数学 来源:2014-2015学年河北省高二上第二次段考理科数学试卷(解析版) 题型:解答题

已知△ABC的顶点C在直线3x﹣y=0上,顶点A、B的坐标分别为(4,2),(0,5).

(Ⅰ)求过点A且在x,y轴上的截距相等的直线方程;

(Ⅱ)若△ABC的面积为10,求顶点C的坐标.

查看答案和解析>>

科目:高中数学 来源:2016届重庆市高三上学期期中文科数学试卷(解析版) 题型:解答题

(本小题满分12分)在 中,内角的对边分别为

(1)若,求

(2)若,且的面积为,求的大小.

查看答案和解析>>

科目:高中数学 来源:2015-2016学年浙江省高二上期中数学试卷(解析版) 题型:填空题

已知椭圆的弦过点,则弦中点的轨迹方程是

查看答案和解析>>

科目:高中数学 来源:2015-2016学年河北省高二上学期期中数学试卷(解析版) 题型:选择题

已知是双曲线的左顶点,分别为双曲线的左、右焦点,为双曲线上一点,的重心,若,则双曲线的离心率为

A. B. C. D.与的取值有关

查看答案和解析>>

科目:高中数学 来源:2016届吉林省高三上学期二模理科数学试卷(解析版) 题型:解答题

(本小题满分12分)在△ABC中,a, b, c分别为内角A, B, C的对边,且

(Ⅰ)求A的大小;

(Ⅱ)求的最大值.

查看答案和解析>>

同步练习册答案