精英家教网 > 高中数学 > 题目详情

中,若成等比数列,且,则等于( )

A. B. C. D.

练习册系列答案
相关习题

科目:高中数学 来源:2015-2016学年江西省高二上期中文科数学试卷(解析版) 题型:解答题

已知函数).

(1)求函数的单调区间;

(2)函数在定义域内存在零点,求的取值范围.

(3)若,当时,不等式恒成立,求的取值范围

查看答案和解析>>

科目:高中数学 来源:2015-2016学年贵州省凯里市高二上期末理科数学试卷(解析版) 题型:选择题

命题“存在一个无理数,它的平方是有理数”的否定是( )

A.任意一个有理数,它的平方是有理数

B.任意一个无理数,它的平方不是有理数

C.存在一个有理数,它的平方是有理数

D.存在一个无理数,它的平方不是有理数

查看答案和解析>>

科目:高中数学 来源:2016届浙江省等高三第一次五校联考理科数学试卷(解析版) 题型:解答题

在四棱锥中,平面,底面是梯形,

(1)求证:平面平面

(2)设为棱上一点,,试确定的值使得二面角

查看答案和解析>>

科目:高中数学 来源:2015-2016学年山东潍坊中学高二上学期期末理科数学试卷(解析版) 题型:选择题

若命题,则是( )

A.

B.

C.

D.

查看答案和解析>>

科目:高中数学 来源:2016届广西河池高中高三上第五次月考理科数学试卷(解析版) 题型:解答题

已知函数

(Ⅰ)当时,求函数的点处的切线方程;

(Ⅱ)设,若函数在定义域内存在两个零点,求实数的取值范围.

查看答案和解析>>

科目:高中数学 来源:2015-2016学年山西省临汾市高一12月月考数学试卷(解析版) 题型:解答题

已知集合,集合

(1)若,求实数的取值范围;

(2)若,求实数的取值范围.

查看答案和解析>>

科目:高中数学 来源:2015-2016学年辽宁省高二12月月考理科数学卷(解析版) 题型:选择题

存在两条直线x=±m与双曲线=1(a>0,b>0)相交于A、B、C、D四点,若四边形ABCD为正方形,则双曲线的离心率的取值范围为( )

A.(1,) B.(1,) C.(,+∞) D.(,+∞)

查看答案和解析>>

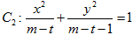
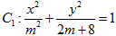
科目:高中数学 来源:2015-2016学年江苏省高二上期中考试数学试卷(解析版) 题型:解答题

已知命题:点不在圆的内部,命题:“曲线表示焦点在轴上的椭圆”,命题 “曲线表示双曲线”.

(1)若“”是真命题,求的取值范围;

(2)若的必要不充分条件,求的取值范围.

查看答案和解析>>

同步练习册答案