精英家教网 > 高中数学 > 题目详情

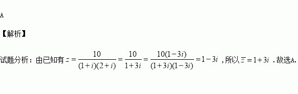
若复数满足,则的共轭复数( )

A. B. C. D.

练习册系列答案
相关习题

科目:高中数学 来源:2015-2016学年河北省高二4月月考文科数学试卷(解析版) 题型:选择题

设向量的模长为,则等于( )

A. B. C. D.

查看答案和解析>>

科目:高中数学 来源:2015-2016学年山西省高二下期中文科数学试卷(解析版) 题型:选择题

在2016年春节期间,某市物价部门,对本市五个商场销售的某商品一天的销售量及其价格进行调查,五个商场的售价元和销售量件之间的一组数据如下表所示:

通过分析,发现销售量对商品的价格具有线性相关关系,其回归方程为,则表格中的值是( )

A.6.4 B.8 C.9.6 D.10

查看答案和解析>>

科目:高中数学 来源:2015-2016学年山西省高二下期中理科数学试卷(解析版) 题型:填空题

在复平面内,复数所对应的点分别为,若向量所对应的复数为,则 .

查看答案和解析>>

科目:高中数学 来源:2015-2016学年山西省高二下期中理科数学试卷(解析版) 题型:选择题

一物体在变力的单位:的单位:)的作用下,沿与力的方向作直线运动,则由运动到时力所做的功为( )

A. B. C. D.

查看答案和解析>>

科目:高中数学 来源:2015-2016学年河北省高二下期中文科数学试卷(解析版) 题型:解答题

已知函数

(1)若,求函数的单调区间;

(2)若的图象在处与直线相切.

①求的值;

②求证:

查看答案和解析>>

科目:高中数学 来源:2015-2016学年河北省高二下期中文科数学试卷(解析版) 题型:填空题

一个棱锥的三视图如图,则该棱锥的表面积(单位:)为

查看答案和解析>>

科目:高中数学 来源:2015-2016学年甘肃省高一下期中数学试卷(解析版) 题型:解答题

某中学调查了某班全部45名同学参加书法社团和演讲社团的情况,数据如下表:(单位:人)

(I)从该班随机选1名同学,求该同学至少参加一个社团的概率;

(II)在既参加书法社团又参加演讲社团的8名同学中,有5名男同学A1,A2,A3,A4,A5,3名女同学B1,B2,B3.现从这5名男同学和3名女同学中各随机选1人,求A1被选中且B1未被选中的概率.

查看答案和解析>>

科目:高中数学 来源:2015-2016学年山西省高二下期中理科数学试卷(解析版) 题型:解答题

设函数

(I)当时,求的单调区间;

(II)若当时,恒成立,求的取值范围.

查看答案和解析>>

同步练习册答案