精英家教网 > 高中数学 > 题目详情

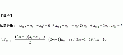
已知等差数列前n项和为Sn.若m>1, m∈N且 , 则m等于____________.

练习册系列答案
相关习题

科目:高中数学 来源:2016届安徽省高三上第五次月考文科数学试卷(解析版) 题型:选择题

已知圆方程:,圆的圆心,若圆与圆交于A,B两点,且,则圆的方程为( )

A.

B.

C.

D.

查看答案和解析>>

科目:高中数学 来源:2016届河北省高三上学期期中考试理科数学试卷(解析版) 题型:填空题

在锐角三角形ABC中,a、b、c分别是角A、B、C的对边,且a﹣2csinA=0.若c=2,则a+b的最大值为

查看答案和解析>>

科目:高中数学 来源:2016届浙江省临海市高三上第三次统练文科数学试卷(解析版) 题型:填空题

已知直线与直线,若,则=_________;若=___________________.

查看答案和解析>>

科目:高中数学 来源:2015-2016学年河北省邯郸市等校高二上学期期中文科数学试卷(解析版) 题型:选择题

,那么“”是“"的( )

A.充分不必要条件 B.必要不充分条件

C.充要条件 D.既不充分也不必要条件

查看答案和解析>>

科目:高中数学 来源:2015-2016学年河北省邯郸市等校高二上学期期中理科数学试卷(解析版) 题型:选择题

已知等差数列中,,则的值是( )

A.20 B.22 C.24 D.-8

查看答案和解析>>

科目:高中数学 来源:2015-2016学年山东省高二上学期期中考试文科数学试卷(解析版) 题型:选择题

若数列 的通项公式是,则( )

A.15 B.12 C.-21 D.-15

查看答案和解析>>

科目:高中数学 来源:2015-2016学年湖北省等高二上学期期中联考文科数学试卷(解析版) 题型:选择题

直线与圆交于两点,则是原点)的面积为( )

A. B. C. D.

查看答案和解析>>

科目:高中数学 来源:2015-2016学年湖北省襄阳市等高一上学期期中联考数学试卷(解析版) 题型:解答题

有一种候鸟每年都按一定的路线迁陟,飞往繁殖地产卵.科学家经过测量发现候鸟的飞行速度可以表示为函数,单位是,其中表示候鸟每分钟耗氧量的单位数,表示测量过程中候鸟每分钟的耗氧偏差.(参考数据:

(1)若,候鸟每分钟的耗氧量为个单位时,它的飞行速度是多少

(2)若,候鸟停下休息时,它每分钟的耗氧量为多少个单位?

(3)若雄鸟的飞行速度为,雌鸟的飞行速度为,那么此时雄鸟每分钟的耗氧量是雌鸟每分钟的耗氧量的多少倍?

查看答案和解析>>

同步练习册答案