精英家教网 > 高中数学 > 题目详情

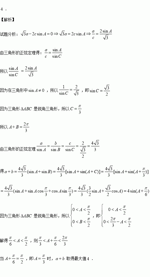
在锐角三角形ABC中,a、b、c分别是角A、B、C的对边,且a﹣2csinA=0.若c=2,则a+b的最大值为

练习册系列答案
相关习题

科目:高中数学 来源:2016届江苏省高三12月月考数学试卷(解析版) 题型:填空题

集合,则集合中的元素

个数为

查看答案和解析>>

科目:高中数学 来源:2016届安徽省高三上第五次月考理科数学试卷(解析版) 题型:选择题

已知P为抛物线上一个动点,Q为圆上一个动点,那么点到点Q的距离与点P到抛物线的准线距离之和的最小值是( )

A. B. C. D.

查看答案和解析>>

科目:高中数学 来源:2015-2016学年四川省高二上期中理科数学试卷(解析版) 题型:填空题

设m∈R,过定点A的动直线x+my=0和过定点B的直线mx﹣y﹣m+3=0交于点P(x,y),则 的最大值是

查看答案和解析>>

科目:高中数学 来源:2016届河北省高三上学期期中考试文科数学试卷(解析版) 题型:填空题

已知平面向量a、b,|a|=1,|b|=,且|2a+b|=,则向量a与向量a+b的夹角为

查看答案和解析>>

科目:高中数学 来源:2015-2016学年湖南师大附中高二上第二次段测理科数学卷(解析版) 题型:解答题

已知椭圆的离心率为,其长轴长与短轴长的和等于6.

(1)求椭圆E的方程;

(2)如图,设椭圆E的上.下顶点分别为,P是椭圆上异于的任意一点,直线分别交x轴于点N.M,若直线OT与过点M.N的圆G相切,切点为T.证明:线段OT的长为定值.

查看答案和解析>>

科目:高中数学 来源:2015-2016学年福建省高一上第二次月考数学试卷(解析版) 题型:选择题

已知上是奇函数,且满足,当时,,则

( )

A. B. C. D.

查看答案和解析>>

科目:高中数学 来源:2015-2016学年河北省邯郸市等校高二上学期期中理科数学试卷(解析版) 题型:填空题

已知等差数列前n项和为Sn.若m>1, m∈N且 , 则m等于____________.

查看答案和解析>>

科目:高中数学 来源:2015-2016学年浙江省温州市高二上学期期中考试数学试卷(解析版) 题型:选择题

用斜二测法画水平放置的边长为的正方形所得的直观图面积是( )

A. B. C. D.

查看答案和解析>>

同步练习册答案