精英家教网 > 高中数学 > 题目详情
已知斜三棱柱ABC-A1B1C1的底面是直角三角形,∠ACB=90°,侧棱与底面所成角为θ,点B1在底面上的射影D落在BC上,
(1)求证:AC⊥平面BB1C1C;
(2)若,且当AC=BC=AA1=3时,求二面角C-AB-C1的大小。
解:(1)∵点在底面上的射影落在上,
平面平面

又∵

平面
(2)以为原点,为x轴,轴,
点且垂直于平面的直线为轴,
建立空间直角坐标系,


显然,平面的法向量
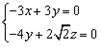
设平面的法向量为
,即

,   
∴二面角的大小是45°。  
练习册系列答案
相关习题

科目:高中数学 来源: 题型:

精英家教网已知斜三棱柱ABC-A1B1C1的侧面BB1C1C是边长为2的菱形,∠B1BC=60°,侧面BB1C1C⊥底面ABC,∠ABC=90°,二面角A-B1B-C为30°.
(1)求证:AC⊥平面BB1C1C;
(2)求AB1与平面BB1C1C所成角的正切值.

查看答案和解析>>

科目:高中数学 来源: 题型:

精英家教网已知斜三棱柱ABC-A1B1C1的侧面BB1C1C与底面ABC垂直,BB1=BC,∠B1BC=60°,AB=AC,M是B1C1的中点.
(Ⅰ)求证:AB1∥平面A1CM;
(Ⅱ)若AB1与平面BB1C1C所成的角为45°,求二面角B-AC-B1的大小.

查看答案和解析>>

科目:高中数学 来源: 题型:

已知斜三棱柱ABC-A1B1C1的底面边长AB=2,BC=3,BC⊥面ABC1,CC1与面ABC所成的角为60°则斜三棱柱ABC-A1B1C1体积的最小值是
9
3
9
3

查看答案和解析>>

科目:高中数学 来源: 题型:

如图所示,已知斜三棱柱ABC-A1B1C1的各棱长均为2,侧棱与底面所成角为
π3
,且侧面ABB1A1垂直于底面.
(1)判断B1C与C1A是否垂直,并证明你的结论;
(2)求四棱锥B-ACC1A1的体积.

查看答案和解析>>

科目:高中数学 来源: 题型:

精英家教网已知斜三棱柱ABC-A1B1C1中,∠ACB=90°,AC=BC=2,点D为AC的中点,A1D⊥平面ABC,A1B⊥ACl
(I)求证:AC1⊥AlC; 
(Ⅱ)求二面角A-A1B-C的余弦值.

查看答案和解析>>

同步练习册答案