精英家教网 > 高中数学 > 题目详情
“长为L (米)的大型机器零件,在通过传送带的流水线时,为安全起见,零件之间的距离不得小于 kLv2(米).其中v (米/时)是流水线的流速,k为比例系数.现经测定,当流速为60 (米/时) 时,零件之间的安全距离为1.44L.
(1)根据给出数据求出比例系数k;
(2)写出流水线上的流量y 关于流水线流速v 的函数关系式; (流量是单位时间内通过的零件数,即
(3)应该规定多大的流速,才能使同一流水线上的零件流量最大?最大流量是多少?
【答案】分析:(1)将流速为60(米/时),安全距离为1.44L代入,可求得k;
(2)由流量是单位时间内通过的零件数,即 可得;
(3)由可求.
解答:解:(1)由题意d=kLv2,将流速为60(米/时),安全距离为1.44L代入,可求得1.44L=kL×(60)2

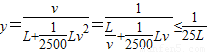
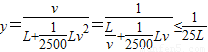
(2)由流量=可得
(3)由题意,当且仅当时,即v=50时,流量达到最大为
点评:本题主要考查函数模型的构建,及利用基本不等式求最值,属于基本题.
练习册系列答案
相关习题

科目:高中数学 来源: 题型:

“长为L (米)的大型机器零件,在通过传送带的流水线时,为安全起见,零件之间的距离不得小于 kLv2(米).其中v (米/时)是流水线的流速,k为比例系数.现经测定,当流速为60 (米/时) 时,零件之间的安全距离为1.44L.
(1)根据给出数据求出比例系数k;
(2)写出流水线上的流量y 关于流水线流速v 的函数关系式; (流量是单位时间内通过的零件数,即
速度零件长度+安全距离

(3)应该规定多大的流速,才能使同一流水线上的零件流量最大?最大流量是多少?

查看答案和解析>>

科目:高中数学 来源: 题型:

长为L(米)的大型机器零件,在通过传送带的流水线时,为安全起见,零件之间的距离不得小于(米),其中v(米/时)是流水线的流速,k为比例系数,现经测定,当流速为60(米/时)时,零件之间的安全距离为1.44L. w.w.w.k.s.5.u.c.o.m        

(1)根据给出数据求出比例系数k;

(2)写出流水线上的流量y关于流水线流速v的函数关系式;(流量是单位时间内通

过的零件数,即流量=

(3)应该规定多大的流速,才能使同一流水线上的零件流量最大?最大流量是多少?

查看答案和解析>>

科目:高中数学 来源: 题型:解答题

“长为L (米)的大型机器零件,在通过传送带的流水线时,为安全起见,零件之间的距离不得小于 kLv2(米).其中v (米/时)是流水线的流速,k为比例系数.现经测定,当流速为60 (米/时) 时,零件之间的安全距离为1.44L.
(1)根据给出数据求出比例系数k;
(2)写出流水线上的流量y 关于流水线流速v 的函数关系式; (流量是单位时间内通过的零件数,即 数学公式
(3)应该规定多大的流速,才能使同一流水线上的零件流量最大?最大流量是多少?

查看答案和解析>>

科目:高中数学 来源:不详 题型:解答题

“长为L (米)的大型机器零件,在通过传送带的流水线时,为安全起见,零件之间的距离不得小于 kLv2(米).其中v (米/时)是流水线的流速,k为比例系数.现经测定,当流速为60 (米/时) 时,零件之间的安全距离为1.44L.
(1)根据给出数据求出比例系数k;
(2)写出流水线上的流量y 关于流水线流速v 的函数关系式; (流量是单位时间内通过的零件数,即
速度
零件长度+安全距离

(3)应该规定多大的流速,才能使同一流水线上的零件流量最大?最大流量是多少?

查看答案和解析>>

同步练习册答案