精英家教网 > 高中数学 > 题目详情

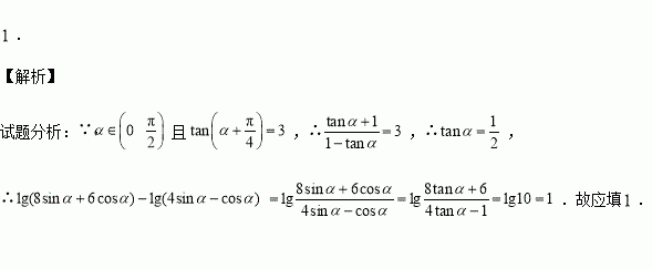
已知,且,则

练习册系列答案
相关习题

科目:高中数学 来源:2015-2016学年河北邢台一中高二上第三次月考理科数学卷(解析版) 题型:填空题

已知圆的圆心是直线轴的交点,且圆被直线所截得的弦长为4,则圆的方程为

查看答案和解析>>

科目:高中数学 来源:2015-2016学年广西桂林市高一上期中数学试卷(解析版) 题型:解答题

计算:

(Ⅰ)

(Ⅱ)

查看答案和解析>>

科目:高中数学 来源:2015-2016学年安徽省蚌埠市高二上期中文科数学试卷(解析版) 题型:解答题

在四棱锥中,底面是矩形,平面,以的中点为球心,为直径的球面交于点,交于点

(1)求证:直线平面

(2)求证:平面平面

查看答案和解析>>

科目:高中数学 来源:2015-2016学年安徽省蚌埠市高二上期中理科数学试卷(解析版) 题型:填空题

设直线过点,且横截距与纵截距相等,则直线的方程为

查看答案和解析>>

科目:高中数学 来源:2016届云南师范大附中高考适应性月考三理科数学试卷(解析版) 题型:解答题

已知函数,其中

(Ⅰ)求处的切线方程;

(Ⅱ)当时,证明:

查看答案和解析>>

科目:高中数学 来源:2016届山西省高三上期中文科数学试卷(解析版) 题型:填空题

中,点在线段的延长线上,且,当时,则

查看答案和解析>>

科目:高中数学 来源:2016届内蒙古赤峰二中高三上12月月考文科数学试卷(解析版) 题型:选择题

满足约束条件,目标函数仅在点处取得最小值,则的取值范围是( )

A、 B、 C、 D、

查看答案和解析>>

科目:高中数学 来源:2016届宁夏银川市高三上学期统练三理科数学试卷(解析版) 题型:解答题

甲、乙两地相距千米,汽车从甲地匀速行驶到乙地,速度不得超过千米/时,已知汽车每小时的运输成本(以元为单位)由可变部分和固定部分组成:可变部分与速度(千米/时)的平方成正比,比例系数为,固定部分为元,

(1)把全程运输成本(元)表示为速度(千米/时)的函数,指出定义域;

(2)为了使全程运输成本最小,汽车应以多大速度行驶?全程运输成本最小是多少?

查看答案和解析>>

同步练习册答案