精英家教网 > 高中数学 > 题目详情

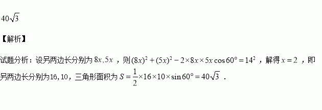
三角形一边长为,它对的角为,另两边之比为,则此三角形面积为_ ___.

练习册系列答案
相关习题

科目:高中数学 来源:2015-2016学年安徽省高二下第一次段考文数学卷(解析版) 题型:解答题

,证明:.

查看答案和解析>>

科目:高中数学 来源:2015-2016学年广东东莞东华高中高一4月月考数学试卷(解析版) 题型:解答题

已知.

(1)若,求的值;

(2)设,若,求,的值.

查看答案和解析>>

科目:高中数学 来源:2015-2016学年广东东莞东华高中高一4月月考数学试卷(解析版) 题型:选择题

已知向量,则 ( )

A. B. C. D.

查看答案和解析>>

科目:高中数学 来源:2015-2016学年广东东莞东华高中高二4月月考理科数学卷(解析版) 题型:解答题

已知各项不为零的数列的前项和为,且满足

(1)求数列的通项公式;

(2)设数列满足,求数列的前项和

查看答案和解析>>

科目:高中数学 来源:2015-2016学年广东东莞东华高中高二4月月考理科数学卷(解析版) 题型:选择题

若实数满足,则的取值范围为(

A. B.

C. D.

查看答案和解析>>

科目:高中数学 来源:2015-2016学年广东东莞东华高中高二4月月考理科数学卷(解析版) 题型:选择题

已知,则( )

A. B. C. D.

查看答案和解析>>

科目:高中数学 来源:2015-2016学年广东中山一中高二上第二次段考数学卷(解析版) 题型:选择题

若不等式的解集为,则实数的取值范围是

A. B. C. D.

查看答案和解析>>

科目:高中数学 来源:2015-2016学年江西省抚州市高一上学期期末质量检测数学试卷(解析版) 题型:选择题

,则的值为( )

A. B. C. D.

查看答案和解析>>

同步练习册答案