精英家教网 > 高中数学 > 题目详情

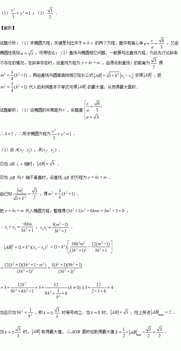
已知椭圆C:=1()的离心率为,短轴一个端点到右焦点的距离为

(1)求椭圆的方程;

(2)设直线与椭圆交于两点,坐标原点到直线的距离为,求△面积的最大值.

练习册系列答案
相关习题

科目:高中数学 来源:2015-2016学年江苏省高邮市高一上学期期中调研数学试卷(解析版) 题型:解答题

已知函数为实常数).

(1)若,求的单调区间(直接写结果);

(2)若,设在区间的最小值为,求的表达式;

(3)设,若函数在区间上是增函数,求实数的取值范围.

查看答案和解析>>

科目:高中数学 来源:2016届江西省高三上学期第三次考试理科数学试卷(解析版) 题型:选择题

等差数列{}前n项和为,满足,则下列结论中正确的是( )

A.中的最大值

B.中的最小值

C.=0

D.=0

查看答案和解析>>

科目:高中数学 来源:2015-2016学年江苏省高一上学期期中数学试卷(解析版) 题型:填空题

从集合A到集合B的映射,若A={-2,-1,0,1,2},则B中至少有 个元素;

查看答案和解析>>

科目:高中数学 来源:2015-2016学年安徽师大附中高二上学期期中文科数学试卷(解析版) 题型:解答题

已知圆C :(x-1)2+(y-2)2=2,点P坐标为(2,-1),过点P作圆C的切线,切点为A、B.

(1)求直线PA,PB的方程;

(2)求切线长的值;

(3)求直线AB的方程.

查看答案和解析>>

科目:高中数学 来源:2015-2016学年四川省实验学校高二上学期期中理科数学试卷(解析版) 题型:解答题

的距离是点的距离的倍.

(1)求点的轨迹方程;

(2)点与点关于点对称,点,求的最大值和最小值.

(3)若过的直线从左向右依次交第(2)问中的轨迹于不同两点,判断的取值范围并证明.

查看答案和解析>>

科目:高中数学 来源:2015-2016学年陕西省西安市高二上学期期中考试理科数学试卷(解析版) 题型:填空题

在△ABC中,cosA=,sinB=,则cosC的值为

查看答案和解析>>

科目:高中数学 来源:2015-2016学年黑龙江省高二上学期期中数学试卷(解析版) 题型:填空题

已知不等式组,表示的平面区域为M,若直线与平面区域M有公共点,则k的取值集合是______________.

查看答案和解析>>

科目:高中数学 来源:2015-2016学年吉林省扶余市高一上学期期中考试数学试卷(解析版) 题型:解答题

定义在(0,+∞)上的函数f(x),对于任意的m,n∈(0,+∞),都有f(mn)=f(m)+f(n)成立,当x>1时,f(x)<0.

(1)求证:1是函数f(x)的零点;

(2)求证:f(x)是(0,+∞)上的减函数;

(3)当f (2)= 时,解不等式f (ax+4)>1.

查看答案和解析>>

同步练习册答案