精英家教网 > 高中数学 > 题目详情

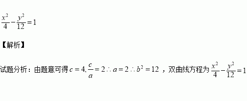
已知双曲线的离心率为2,焦点是(-4,0),(4,0),则双曲线方程为

练习册系列答案
相关习题

科目:高中数学 来源:2015-2016学年宁夏石嘴山三中高二上期中文科数学试卷(解析版) 题型:填空题

以椭圆的焦点为顶点,顶点为焦点的双曲线方程为

查看答案和解析>>

科目:高中数学 来源:2015-2016学年安徽省高二上期中理科数学试卷(解析版) 题型:选择题

2015年11月11日的“双十一”又掀购物狂潮,淘宝网站对购物情况做了一项调查,收回的有效问卷共500000份,其中购买下列四种商品的人数统计如下:服饰鞋帽198000人;家居用品94000人;化妆品116000人;家用电器92000人.为了解消费者对商品的满意度,淘宝网站用分层抽样的方法从中选出部分问卷进行调查,已知在购买“化妆品”这一类中抽取了116人,则在购买“家居用品”这一类中应抽取的问卷份数为( )

A.92 B.94 C.116 D.118

查看答案和解析>>

科目:高中数学 来源:2015-2016学年江苏省淮安市高二上学期期中考试数学试卷(解析版) 题型:解答题

如图,矩形ABCD的两条对角线相交于点M(3,5),AB边所在直线的方程为,点N(0,6)在AD边所在直线上.

(1)求AD边所在直线的方程;

(2)求对角线AC所在直线的方程.

查看答案和解析>>

科目:高中数学 来源:2015-2016学年福建省四地六校高二上学期11月月考文科数学试卷(解析版) 题型:选择题

一次函数的图象同时经过第一、三、四象限的必要不充分条件是( )

A.

B.

C.

D.

查看答案和解析>>

科目:高中数学 来源:2015-2016学年福建省龙海市高二上学期期中理科数学试卷(解析版) 题型:填空题

命题“不成立”是真命题,则实数的取值范围是

查看答案和解析>>

科目:高中数学 来源:2015-2016学年安徽省高二上期中文科数学试卷(解析版) 题型:选择题

均为直线,其中在平面内,则的( )

A.充分必要条件 B.必要不充分条件

C.充分不必要条件 D.既不充分也不必要条件

查看答案和解析>>

科目:高中数学 来源:2016届浙江省高三上学期期中理科数学试卷(解析版) 题型:选择题

已知全集,集合,那么=( )

A. B. C. D.

查看答案和解析>>

科目:高中数学 来源:2015-2016学年浙江省高二上期中数学试卷(解析版) 题型:填空题

如图,在正三棱锥中,分别为棱的中点,并且,若侧棱长,则正三棱锥的外接球的体积为__________.

查看答案和解析>>

同步练习册答案