精英家教网 > 高中数学 > 题目详情

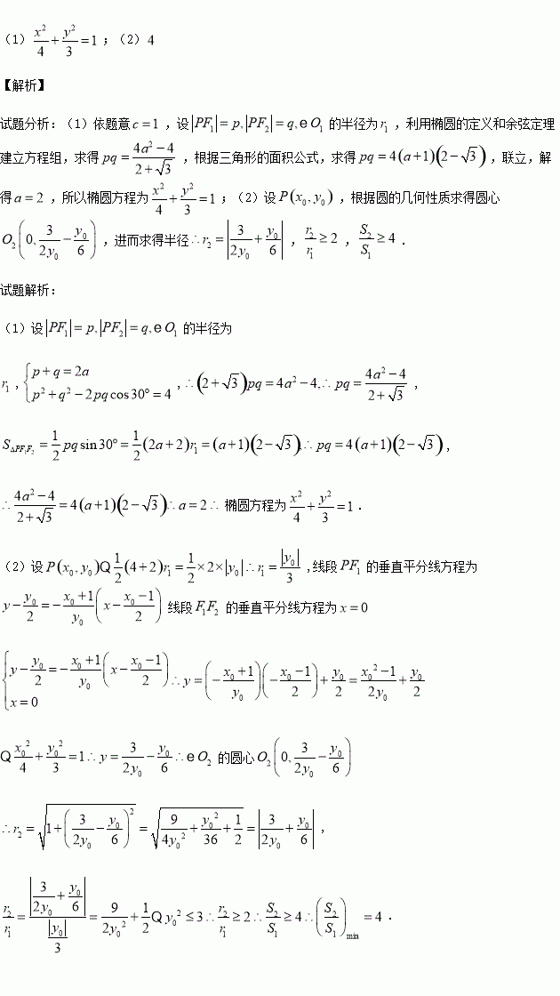
已知椭圆方程:,分别是椭圆的左、右焦点,为椭圆上的点,的内切圆为的外接圆为,若时,的半径为.

(1)求椭圆方程;

(2)设圆的面积为,的面积为,求的最小值.

练习册系列答案
相关习题

科目:高中数学 来源:2015-2016学年黑龙江绥棱县一中高二6月月考数学(理)试卷(解析版) 题型:解答题

已知椭圆与双曲线的离心率互为倒数,且直线经过椭圆的右顶点.

(Ⅰ)求椭圆的标准方程;

(Ⅱ)设不过原点的直线与椭圆交于两点 ,且直线的斜率依次成等比数列,求△面积的取值范围.

查看答案和解析>>

科目:高中数学 来源:2015-2016学年甘肃天水三中高一下学期期中数学试卷(解析版) 题型:选择题

对总数为N的一批零件抽取一个容量为30的样本,若每个零件被抽取的概率为,则N的值

A.120 B.200 C.150 D.100

查看答案和解析>>

科目:高中数学 来源:2016届辽宁省高三第四次模拟数学(文)试卷(解析版) 题型:选择题

如图所示的茎叶图为高三某班名学生的化学考试成绩,图的算法框图中输入的为茎叶图中如图所示学生成绩,则输出分别是( )

A. B.

C. D.

查看答案和解析>>

科目:高中数学 来源:2016届辽宁省高三第四次模拟数学(文)试卷(解析版) 题型:选择题

已知集合,则( )

A. B. C. D.

查看答案和解析>>

科目:高中数学 来源:2016届辽宁省高三第四次模拟数学(理)试卷(解析版) 题型:填空题

某工厂零件模型的三视图如图所示,则该零件的体积为

查看答案和解析>>

科目:高中数学 来源:2016届辽宁省高三第四次模拟数学(理)试卷(解析版) 题型:选择题

数列为等比数列, 前项和记为,若,则下列叙述正确的是( )

A.为偶数 B.为奇数

C.为偶数 D.为奇数

查看答案和解析>>

科目:高中数学 来源:2015-2016学年内蒙古高一下期末理数学试卷(解析版) 题型:填空题

若钝角的面积为,且,则等于 .

查看答案和解析>>

科目:高中数学 来源:2015-2016学年广西河池市高一下月考一数学试卷(解析版) 题型:填空题

记实数中的最大数为,最小数为,则

查看答案和解析>>

同步练习册答案