精英家教网 > 高中数学 > 题目详情

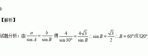
已知△ABC中,a=4,b=4,∠A=30°,则∠B等于( )

A.30° B.30°或150° C.60° D.60°或120°

练习册系列答案
相关习题

科目:高中数学 来源:2015-2016学年甘肃省嘉峪关市高二上学期期中考试理科数学试卷(解析版) 题型:选择题

已知为等差数列,为等比数列,其公比,若,则( )

A. B. C. D.

查看答案和解析>>

科目:高中数学 来源:2015-2016学年四川绵阳南山中学高二上期中理科数学试卷(解析版) 题型:解答题

(本题满分10分)

给定直线,抛物线

(1)当抛物线的焦点在直线上时,求的值;

(2)若的三个顶点都在(1)所确定的抛物线上,且点的纵坐标的重心恰是抛物线的焦点,求直线的方程.

查看答案和解析>>

科目:高中数学 来源:2015-2016学年广西桂林中学高二上期中考试文科数学试卷(解析版) 题型:选择题

已知矩形的对角线互相垂直,则( )

A.真 B.为真

C.为真 D.为真

查看答案和解析>>

科目:高中数学 来源:2015-2016学年福建省师大附高二上期中理科数学试卷(解析版) 题型:选择题

下列函数中,最小值为的是( )

A.

B.

C.

D.

查看答案和解析>>

科目:高中数学 来源:2015-2016学年陕西省高二上学期期中考试数学试卷(解析版) 题型:选择题

等差数列的前n项和为Sn,若a3+a17=10,则S19=( )

A.55 B.95 C.100 D.不能确定

查看答案和解析>>

科目:高中数学 来源:2015-2016学年辽宁省大连市高二10月月考数学试卷(解析版) 题型:填空题

执行左图,输出的的值

查看答案和解析>>

科目:高中数学 来源:2015-2016学年湖北省枣阳市高二10月月考理科数学试卷(解析版) 题型:填空题

高三(1)班班委会由4名男生和3名女生组成,现从中任选3人参加上海市某社区敬老服务工作,则选出的人中至少有一名女生的概率是_____________.(结果用最简分数表示)

查看答案和解析>>

科目:高中数学 来源:2015-2016学年甘肃省定西市高一上学期第一次月考数学试卷(解析版) 题型:选择题

有下列函数:①;②;③;④,其中是偶函数的有:( )

A.① B.①③ C.①② D.②④

查看答案和解析>>

同步练习册答案