精英家教网 > 高中数学 > 题目详情

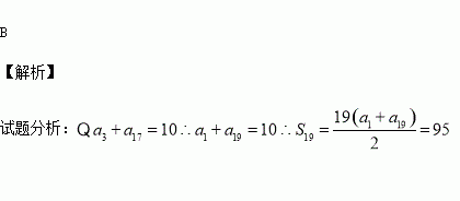
等差数列的前n项和为Sn,若a3+a17=10,则S19=( )

A.55 B.95 C.100 D.不能确定

练习册系列答案
相关习题

科目:高中数学 来源:2016届浙江宁波效实中学高三上期中考试文科数学试卷(解析版) 题型:填空题

数列的前项和为,则 ;数列的前10项和

查看答案和解析>>

科目:高中数学 来源:2015-2016学年四川绵阳南山中学高二上期中理科数学试卷(解析版) 题型:选择题

已知是双曲线的左、右焦点,过点且垂直于轴的直线交双曲线两点,若为正三角形,则双曲线的离心率的值为 ( )

A、 B、 C、 D、

查看答案和解析>>

科目:高中数学 来源:2015-2016学年福建省师大附高二上期中理科数学试卷(解析版) 题型:选择题

已知实数满足不等式组,若目标函数取得最大值时的唯一最优解是(1,3),则实数的取值范围为( )

A. B. C. D.

查看答案和解析>>

科目:高中数学 来源:2015-2016学年陕西省高二上学期期中考试数学试卷(解析版) 题型:选择题

已知△ABC中,a=4,b=4,∠A=30°,则∠B等于( )

A.30° B.30°或150° C.60° D.60°或120°

查看答案和解析>>

科目:高中数学 来源:2015-2016学年辽宁省大连市高二10月月考数学试卷(解析版) 题型:解答题

现有5道题,其中3道甲类题,2道乙类题,张同学从中任取2道题解答.试求:

(1)所取的2道题都是甲类题的概率;

(2)所取的2道题不是同一类题的概率.

查看答案和解析>>

科目:高中数学 来源:2015-2016学年辽宁省大连市高二10月月考数学试卷(解析版) 题型:选择题

为了研究某药品的疗效,选取若干名志愿者进行临床试验,所有志愿者的舒张压数据(单位:kPa)的分组区间为:[12,13),[13,14),[14,15),[15,16),[16,17],将其按从左到右的顺序分别编号为第一组,第二组,,第五组,右图是根据试验数据制成的频率分布直方图,已知第一组与第二组共有20人,第三组中没有疗效的有6人,则第三组中有疗效的人数为( )

A.6 B.8 C.12 D.18

查看答案和解析>>

科目:高中数学 来源:2015-2016学年湖北省高二上学期期中理科数学试卷(解析版) 题型:解答题

(本小题满分12分)在平面直角坐标系中,已知圆过坐标原点且圆心在曲线上.

(Ⅰ)若圆分别与轴、轴交于点(不同于原点),求证:的面积为定值;

(Ⅱ)设直线与圆交于不同的两点,且,求圆的方程;

(Ⅲ)设直线与(Ⅱ)中所求圆交于点为直线上的动点,直线与圆的另一个交点分别为,求证:直线过定点.

查看答案和解析>>

科目:高中数学 来源:2014-2015学年浙江省等三校高二上学期期中考试数学试卷(解析版) 题型:填空题

在△ABC中,=________.

查看答案和解析>>

同步练习册答案