精英家教网 > 高中数学 > 题目详情
某城市在发展过程中,交通状况逐渐受到大家更多的关注,据有关统计数据显示,从上午6点到中午12点,车辆通过该市某一路段的用时y(分钟)与车辆进入该路段的时刻t之间关系可近似地用如下函数给出:.求从上午6点到中午12点,通过该路段用时最多的时刻.
【答案】分析:根据所给的分段函数,要求函数的最大值,需要求出每一段上的最大值再进行比较,在函数的第一段,所给的是一个三次函数式,需要利用导数来求函数的最大值,第二段是一个一次函数,直接根据函数的单调性来做,第三段是一个二次函数,根据根据二次函数的性质来做,对于三段做出的函数值进行比较,得到结果.
解答:解:根据所给的分段函数,要求函数的最大值,需要求出每一段上的最大值再进行比较,
当6≤t<9时.

令y'=0,得t=-12或t=8.,(3分)
当6≤t<8时,y'>0,当8<t<9时,y'<0,
所以当t=8时,y有最大值,(5分)
ymax=18.75(分钟),(6分)

∴当t=10时,ymax=15(分钟).,(8分)
当10<t≤12时,
y=-3(t-11)2+18,
∴当t=11时,ymax=18(分钟).,(11分)
综上所述上午8时该路段所用的最多.
点评:本题考查利用导数求函数的最值和分段函数的最值的求法,本题解题的关键是首先对于所给的三段上的函数求出最值,再比较三个最值的大小,三个最值种最大的结果即为所求.
练习册系列答案
相关习题

科目:高中数学 来源: 题型:

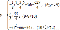
某城市在发展过程中,交通状况逐渐受到大家更多的关注,据有关统计数据显示,从上午6点到中午12点,车辆通过该市某一路段的用时y(分钟)与车辆进入该路段的时刻t之间关系可近似地用如下函数给出:y=
-
1
8
t3-
3
4
t2+36t-
629
4
,(6≤t<9)
t
8
+
55
4
,(9≤t≤10)
-3t2+66t-345,(10<t≤12)
.求从上午6点到中午12点,通过该路段用时最多的时刻.

查看答案和解析>>

科目:高中数学 来源: 题型:解答题

某城市在发展过程中,交通状况逐渐受到大家更多的关注,据有关统计数据显示,从上午6点到中午12点,车辆通过该市某一路段的用时y(分钟)与车辆进入该路段的时刻t之间关系可近似地用如下函数给出:数学公式.求从上午6点到中午12点,通过该路段用时最多的时刻.

查看答案和解析>>

科目:高中数学 来源:同步题 题型:解答题

某城市在发展过程中,交通状况逐渐受到大家更多的关注,据有关统计数据显示,从上午6点到中午12点,车辆通过该市某一路段的用时y(分钟)与车辆进入该路段的时刻t之间的关系可近似地用如下函数给出:y=,求从上午6点到中午12点,通过该路段用时最多的时刻.

查看答案和解析>>

科目:高中数学 来源: 题型:

某城市在发展过程中,交通状况逐渐受到大家更多的关注,据有关统计数据显示,从上午6点到中午12点,车辆通过该市某一路段的用时y(分钟)与车辆进入该路段的时刻t之间关系可近似地用如下函数给出:

求从上午6点到中午12点,通过该路段用时最多的时刻.

查看答案和解析>>

科目:高中数学 来源: 题型:

某城市在发展过程中,交通状况逐渐受到大家更多的关注,据有关统计数据显示,从上午6点到中午12点,车辆通过该市某一路段的用时y(分钟)与车辆进入该路段的时刻t之间的关系可近似地用如下函数给出:

y

求从上午6点到中午12点,通过该路段用时最多的时刻.

查看答案和解析>>

同步练习册答案