精英家教网 > 高中数学 > 题目详情

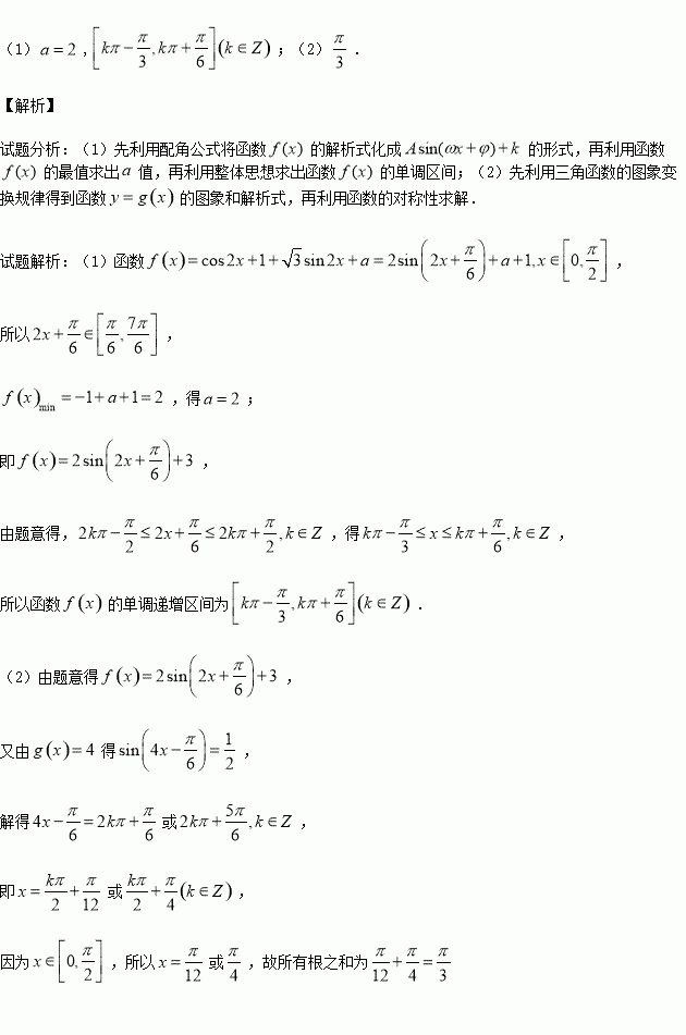
已知函数,且当时,的最小值为2.

(1)求的值,并求的单调递增区间;

(2)先将函数的图象上的点的纵坐标不变,横坐标缩小到原来的,再将所得的图象向右平移个单位长度,得到函数的图象,求方程在区间上所有根之和.

练习册系列答案
相关习题

科目:高中数学 来源:2015-2016学年福建省高二下期中文科数学试卷(解析版) 题型:解答题

已知函数.

(Ⅰ)当时,求函数的单调区间和极值;

(Ⅱ)若最小值为0,求实数的值.

(Ⅲ)求证:.

查看答案和解析>>

科目:高中数学 来源:2016届山西省等四校高三下第四次联考文科数学试卷(解析版) 题型:选择题

函数的图象大致是( )

查看答案和解析>>

科目:高中数学 来源:2016届山西省等四校高三下第四次联考理科数学试卷(解析版) 题型:选择题

已知函数,若对,均有,则的最小值为( )

A. B. C.-2 D.0

查看答案和解析>>

科目:高中数学 来源:2016届山西省等四校高三下第四次联考理科数学试卷(解析版) 题型:选择题

某研究机构对儿童记忆能力和识图能力进行统计分析,得到如下数据:

由表中数据,求得线性回归方程为,,若某儿童的记忆能力为时,则他的识图能力为( )

A.9.2 B.9.5 C.9.8 D.10

查看答案和解析>>

科目:高中数学 来源:2015-2016学年宁夏高一下第二次月考数学试卷(解析版) 题型:解答题

已知函数

(1)求的最小正周期.

(2)求在区间上的最小值.

查看答案和解析>>

科目:高中数学 来源:2015-2016学年宁夏高一下第二次月考数学试卷(解析版) 题型:选择题

某算法的程序框图如图所示,如果输出的结果为5,57,则判断框内应为( )

A. B. C. D.

查看答案和解析>>

科目:高中数学 来源:2015-2016学年四川省高二下期中文科数学试卷(解析版) 题型:填空题

已知圆锥曲线的一个焦点坐标为,则该圆锥曲线的离心率为 .

查看答案和解析>>

科目:高中数学 来源:2015-2016学年西藏日喀则一中高二4月月考文科数学试卷(解析版) 题型:解答题

为了解某班学生喜爱打篮球是否与性别有关,对本班50人进行了问卷调查得到了如下列表:

已知在全班50人中随机抽取1人,抽到喜爱打篮球的学生的概率为.

(1)请将上表补充完整(不用写计算过程);

(2)能否有99.5%的把握认为喜爱打篮球与性别有关?说明你的理由.

下面的临界值表供参考:

(参考公式:,其中

查看答案和解析>>

同步练习册答案