精英家教网 > 高中数学 > 题目详情

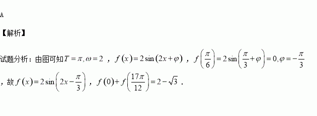
函数的部分图象如图所示,則的值为( )

A. B. C. D.

练习册系列答案
相关习题

科目:高中数学 来源:2016届山西晋城市高三下学期第二次模拟数学(文)试卷(解析版) 题型:选择题

已知集合,则下列结论正确的是( )

A. B. C. D.

查看答案和解析>>

科目:高中数学 来源:2017届河北衡水中学高三上学期第二次调研数学(理)试卷(解析版) 题型:选择题

中,若,则( )

A. B.

C.是直角三角形 D.

查看答案和解析>>

科目:高中数学 来源:2017届河北衡水中学高三上学期第二次调研数学(文)试卷(解析版) 题型:填空题

已知定义在实数集上的函数满足,且的导函数,则不等式

的解集为

查看答案和解析>>

科目:高中数学 来源:2017届河北衡水中学高三上学期第二次调研数学(文)试卷(解析版) 题型:选择题

已知数列的前项和为,满足,则数列的通项( )

A. B. C. D.

查看答案和解析>>

科目:高中数学 来源:2017届湖北黄冈中学高三上学期周末测试9.10数学试卷(解析版) 题型:解答题

设数列的前n项和为,点()在直线上.

(Ⅰ)求数列的通项公式;

(Ⅱ)在之间插入个数,使这+2个数组成公差为的等差数列,求数列的前n项和为,并求使成立的正整数的最大值.

查看答案和解析>>

科目:高中数学 来源:2017届湖北黄冈中学高三上学期周末测试9.10数学试卷(解析版) 题型:填空题

已知,则______

查看答案和解析>>

科目:高中数学 来源:2017届湖北黄冈中学高三上学期周末测试数学试卷(解析版) 题型:解答题

已知.

(1)何值时,最小?此时的位置关系如何?

(2)何值时, 的夹角最小? 此时的位置关系如何?

查看答案和解析>>

科目:高中数学 来源:2016届新疆乌鲁木齐八一中学高三上学期月考一数学(理)试卷(解析版) 题型:解答题

已知函数.

(Ⅰ)当时,求曲线在点(0,1)处的切线方程;

(Ⅱ)若函数在区间上的最小值为0,求a的值;

(Ⅲ)若对于任意恒成立,求a的取值范围.

查看答案和解析>>

同步练习册答案