精英家教网 > 高中数学 > 题目详情

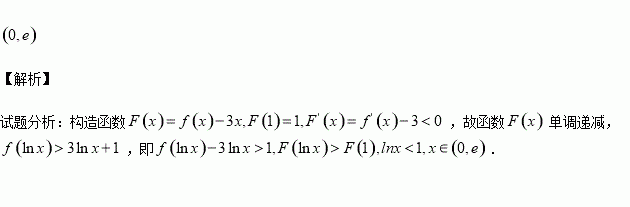
已知定义在实数集上的函数满足,且的导函数,则不等式

的解集为

练习册系列答案
相关习题

科目:高中数学 来源:2016届山西晋城市高三下学期第二次模拟数学(文)试卷(解析版) 题型:填空题

已知抛物线,过抛物线的焦点的直线交抛物线于点,交抛物线的准线于点

,若,则点到原点的距离为 .

查看答案和解析>>

科目:高中数学 来源:2017届河北衡水中学高三上学期第二次调研数学(理)试卷(解析版) 题型:解答题

已知函数.

(1)若函数上单调递增,求实数的取值范围;

(2)已知,当时, 有两个扱值点,且,求的最小值.

查看答案和解析>>

科目:高中数学 来源:2017届河北衡水中学高三上学期第二次调研数学(理)试卷(解析版) 题型:选择题

在我国古代著名的数学专著《九章算术》里有—段叙述:今有良马与驽马发长安至齐,齐去长安一千一百二十五里,良马初日行一百零三里,曰增十三里:驽马初日行九十七里,曰减半里,良马先至齐,复还迎驽马,二马相逢,问:几日相逢?( )

A.日 B.日 C.日 D.

查看答案和解析>>

科目:高中数学 来源:2017届河北衡水中学高三上学期第二次调研数学(文)试卷(解析版) 题型:解答题

已知曲线在点处的切线是.

(1)求实数的值;

(2)若恒成立, 求实数的最大值.

查看答案和解析>>

科目:高中数学 来源:2017届河北衡水中学高三上学期第二次调研数学(文)试卷(解析版) 题型:选择题

已知函数,若实数满足,,则实数的取值范围是( )

A. B.

C. D.

查看答案和解析>>

科目:高中数学 来源:2017届河北衡水中学高三上学期第二次调研数学(文)试卷(解析版) 题型:选择题

函数的部分图象如图所示,則的值为( )

A. B. C. D.

查看答案和解析>>

科目:高中数学 来源:2017届湖北黄冈中学高三上学期周末测试9.10数学试卷(解析版) 题型:选择题

若关于x,y的不等式组表示的平面区域内存在点P(x0,y0),满足x0-2y0=2,则m的取值范围是( )

A. B. C. D.

查看答案和解析>>

科目:高中数学 来源:2017届甘肃武威二中高三上学期月考一数学(理)试卷(解析版) 题型:选择题

已知函数,有以下命题:①当时,函数上单调递增;②当时,函数上有极大值;③当时,函数上单调递减;④当时,函数上有极大值,有极小值.其中不正确命题的序号是( )

A.①③ B.②③ C.①④ D.②④

查看答案和解析>>

同步练习册答案