精英家教网 > 高中数学 > 题目详情

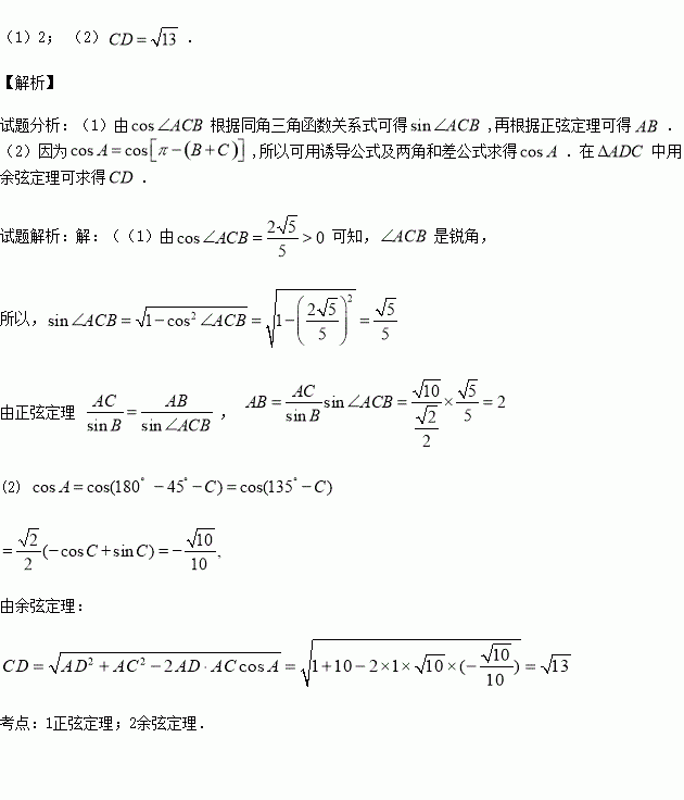
(本小题满分12分)如图,在中,,点的中点,求:

(1)边的长;

(2)的值和中线的长

练习册系列答案
相关习题

科目:高中数学 来源:2016届广东省广州市荔湾区高三上学期调研测试一理科数学试卷(解析版) 题型:解答题

(本小题满分12分)如图,矩形所在的平面与等边所在的平面垂直,的中点.

(1)求证:

(2)求二面角的余弦值.

查看答案和解析>>

科目:高中数学 来源:2015-2016学年河北衡水冀州中学高二上学期第一次月考文科数学试卷(解析版) 题型:选择题

下列图像表示函数图像的是( )

查看答案和解析>>

科目:高中数学 来源:2016届云南师范大学附属中学高考适应性月考卷一理科数学试卷(解析版) 题型:选择题

已知,则( )

A、 B、 C、 D、

查看答案和解析>>

科目:高中数学 来源:2015-2016学年甘肃省张掖市高二上学期10月月考理科数学试卷(解析版) 题型:解答题

(本小题满分12分)如图,在中,,点的中点,

求:(1)边的长;

(2)的值和中线的长

查看答案和解析>>

科目:高中数学 来源:2015-2016学年甘肃省张掖市高二上学期10月月考文科数学试卷(解析版) 题型:选择题

中,如果,那么等于( )

A. B. C. D.

查看答案和解析>>

科目:高中数学 来源:2015-2016学年湖南省高二下学期第一次月考理科数学试卷(解析版) 题型:解答题

(本小题满分12分)已知函数

(Ⅰ)求的值;

(Ⅱ)若对于任意的,都有,求实数的取值范围.

查看答案和解析>>

科目:高中数学 来源:2016届江西省名校学术联盟高三第一次调研一文科数学试卷(解析版) 题型:解答题

(本小题满分12分)

设数列满足,且对任意,函数满足

(1)求数列的通项公式;

(2)设,记数列的前项和为,求证:

查看答案和解析>>

科目:高中数学 来源:2014-2015学年东北三省等三校高三第一次模拟理科数学试卷(解析版) 题型:选择题

已知函数,若函数有且只有两个零点,则k的取值范围为( )

A. B. C. D.

查看答案和解析>>

同步练习册答案