精英家教网 > 高中数学 > 题目详情

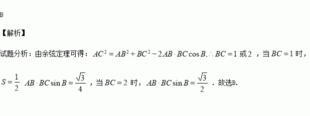
中,,则的面积等于( )

A. B. C. D.

练习册系列答案
相关习题

科目:高中数学 来源:2017届湖南衡阳县四中高三9月月考数学(理)试卷(解析版) 题型:填空题

函数的单调减区间为____________.

查看答案和解析>>

科目:高中数学 来源:2015-2016学年广西柳州铁路一中高一下期末数学试卷(解析版) 题型:解答题

已知为等差数列,为数列的前项和,已知

(1)求数列的首项及公差为

(2)证明:数列为等差数列并求其前项和

查看答案和解析>>

科目:高中数学 来源:2015-2016学年湖南衡阳八中高二下期末数学(理)试卷(解析版) 题型:解答题

(在以坐标原点为极点,轴的正半轴为极轴建立的极坐标系中,曲线的极坐标方程为.正三角形的顶点都在上,且依逆时针次序排列,点的坐标为

(1)求点的直角坐标;

(2)设是圆上的任意一点,求的取值范围.

查看答案和解析>>

科目:高中数学 来源:2015-2016学年湖南衡阳八中高二下期末数学(理)试卷(解析版) 题型:填空题

已知数列的前项和为,则数列的通项公式为______.

查看答案和解析>>

科目:高中数学 来源:2015-2016学年湖南衡阳八中高二下期末数学(理)试卷(解析版) 题型:选择题

如图,网格纸上小正方形的边长为1,粗线画出的是某多面体的三视图,则该多面体的体积为( )

A.48 B.32 C.16 D.

查看答案和解析>>

科目:高中数学 来源:2015-2016学年湖南衡阳八中高二下期末数学(文)试卷(解析版) 题型:解答题

己知二次函数的最小值为1,且

(1)求的解析式;

(2)若在区间上不单调,求实数的取值范围;

(3)在区间上,的图象恒在的图象上方,试确定实数的取值范围.

查看答案和解析>>

科目:高中数学 来源:2015-2016学年湖南衡阳八中高二下期末数学(文)试卷(解析版) 题型:选择题

的值为( )

A. B. C. D.

查看答案和解析>>

科目:高中数学 来源:2016-2017学年河北枣强中学高一上学期月考一数学试卷(解析版) 题型:选择题

函数的值域为( )

A. B.

C. D.

查看答案和解析>>

同步练习册答案