精英家教网 > 高中数学 > 题目详情

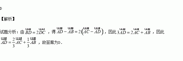
中,若点满足,则( )

A. B.

C. D.

练习册系列答案
相关习题

科目:高中数学 来源:2015-2016学年吉林实验中学高二上学期期中文科数学试卷(解析版) 题型:选择题

直线(a+2)x+(1-a)y-3=0与(a-1)x+(2a+3)y+2=0互相垂直,则a的值为

A.±1 B.1 C.-1 D.-

查看答案和解析>>

科目:高中数学 来源:2015-2016学年甘肃省嘉峪关市高二上学期期中考试理科数学试卷(解析版) 题型:填空题

已知数列满足,则

查看答案和解析>>

科目:高中数学 来源:2016届山东省高三第二次诊断性考试文科数学试卷(解析版) 题型:填空题

已知扇形的周长是8,圆心角为2,则扇形的弧长为

查看答案和解析>>

科目:高中数学 来源:2016届山东省高三第二次诊断性考试理科数学试卷(解析版) 题型:选择题

下列函数中,既是偶函数,又在区间内是增函数的是

A. B.

C. D.

查看答案和解析>>

科目:高中数学 来源:2016届河南省原名校高三上学期第一次联考理科数学试卷(解析版) 题型:选择题

由曲线,直线轴所围成图形的面积是( )

A. B. C. D.[

查看答案和解析>>

科目:高中数学 来源:2015-2016学年四川绵阳南山中学高二上期中文科数学试卷(解析版) 题型:选择题

已知直线的方程为,则直线的倾斜角为

A. B.

C. D.

查看答案和解析>>

科目:高中数学 来源:2015-2016学年福建省师大附高二上期中理科数学试卷(解析版) 题型:填空题

中,D为边BC的中点,,则________.

查看答案和解析>>

科目:高中数学 来源:2015-2016学年河南省英文学校高一上学期期中考试数学试卷(解析版) 题型:选择题

若函数满足,则的值( )

A.-2 B.-1 C.1 D.2

查看答案和解析>>

同步练习册答案