精英家教网 > 高中数学 > 题目详情
已知函数f(x)是(x∈R)的反函数,函数g(x)的图象与函数的图象关于直线x=-2成轴对称图形,设F(x)=f(x)+g(x).
(1)求函数F(x)的解析式及定义域;
(2)试问在函数F(x)的图象上是否存在两个不同的点A,B,使直线AB恰好与y轴垂直?若存在,求出A,B坐标;若不存在,说明理由.
【答案】分析:(1)由题设条件知f(x)=lg(-1<x<1).设P(x,y)是g(x)图象上的任意一点,则P关于直线x=-2的对称点P′的坐标为(-4-x,y).由此可知g(x)=(x≠-2).从而得到F(x)的解析式及定义域.
(2)由f(x)和g(x)都是减函数,知F(x)在(-1,1)上是减函数.由此可知不存在这样两个不同点A、B,使直线AB恰好与y轴垂直.
解答:解:(1)由y=-1(x∈R),得10x=,x=lg
∴f(x)=lg(-1<x<1).
设P(x,y)是g(x)图象上的任意一点,
则P关于直线x=-2的对称点P′的坐标为(-4-x,y).
由题设知点P′(-4-x,y)在函数的图象上,
∴y=,即g(x)=(x≠-2).
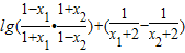
∴F(x)=f(x)+g(x)=lg+,其定义域为{x|-1<x<1}.
(2)设F(x)上不同的两点A(x1,y1),B(x2 y2),-1<x1<x2<1
则y1-y2=F(x1)-F(x2)=
=
=
由-1<x1<x2<1    得
所以,y1>y2
即F(x)是(-1,1)上的单调减函数,故不存在A,B两点,使AB与y轴垂直.
点评:本题是一道综合题,解决第(2)小题常用的方法是反证法,但本题巧用单调性法使问题变得简单明了.
练习册系列答案
相关习题

科目:高中数学 来源: 题型:

已知函数f(x)是定义在[-1,1]上的函数,若对于任意x,y∈[-1,1],都有f(x+y)=f(x)+f(y),且x>0时,有f(x)>0
(1)判断函数的奇偶性;
(2)判断函数f(x)在[-1,1]上是增函数,还是减函数,并用单调性定义证明你的结论;
(3)设f(1)=1,若f(x)<(1-2a)m+2,对所有x∈[-1,1],a∈[-1,1]恒成立,求实数m的取值范围.

查看答案和解析>>

科目:高中数学 来源: 题型:

已知函数f(x)是偶函数,当x∈(0,1)时,f(x)=2x-1,则f(-
1
2
)
的值为
2
-1
2
-1

查看答案和解析>>

科目:高中数学 来源: 题型:

已知函数f(x)是 R上的增函数,A(0,-1),B(3,1)是其图象上的两点,那么|f(x)|<1的解集是(  )

查看答案和解析>>

科目:高中数学 来源: 题型:

已知函数f(x)是定义在R上的奇函数,其最小正周期为3,且当x∈(0,
3
2
)
时,f(x)=2-x+1,则f(8)=(  )

查看答案和解析>>

科目:高中数学 来源: 题型:

已知函数f(x)是定义在R上,图象关于原点对称,且是f(x+1)=-
1
f(x)
,当x∈(0,1)时,f(x)=2x-1,则f(log
1
2
6)=
-
1
2
-
1
2

查看答案和解析>>

同步练习册答案