精英家教网 > 高中数学 > 题目详情
已知函数f(x)=lnx﹣ ,g(x)=f(x)+ax﹣6lnx,其中a∈R.
(Ⅰ)讨论f(x)的单调性;
(Ⅱ)若g(x)在其定义域内为增函数,求正实数a的取值范围;
(Ⅲ)设函数h(x)=x2﹣mx+4,当a=2时,若x1∈(0,1),x2∈[1,2],总有g(x1)≥h(x2)成立,求实数m的取值范围.
解:(Ⅰ)f(x)的定义域为(0,+∞),且 
①当a≥0时,f′(x)>0,f(x)在(x,+∞)上单调递增;
②当a>0时,由f′(x)>0,得x>﹣a;由f′(x)<0,得x<﹣a;
故f(x)在(0,﹣a)上单调递减,在(﹣a,+∞)上单调递增.
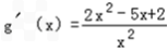
(Ⅱ)g(x)=ax﹣ ,g(x)的定义域为(0,+∞),
 ﹣ = 
因为g(x)在其定义域内为增函数,所以x∈(0,+∞),g′(x)≥0,
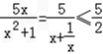
∴ax2﹣5x+a≥0, ∴a(x2+1)≥5x,即 ,
 .
 ,当且仅当x=1时取等号,所以a .
(Ⅲ)当a=2时,g(x)=2x﹣ , ,
由g′(x)=0,得x= 或x=2.
当 时,g′(x)≥0;
当x 时,g′(x)<0.
所以在(0,1)上, ,
而“x1∈(0,1),x2∈[1,2],总有g(x1)≥h(x2)成立”等价于 “g(x)在(0,1)上的最大值不小于h(x)在[1,2]上的最大值”
而h(x)在[1,2]上的最大值为max{h(1),h(2)},
所以有 
 ,
 ,
解得m≥8﹣5ln2,
所以实数m的取值范围是[8﹣5ln2,+∞).
练习册系列答案
相关习题

科目:高中数学 来源: 题型:

已知函数f(x)=2x-2+ae-x(a∈R)
(1)若曲线y=f(x)在点(1,f(1))处的切线平行于x轴,求a的值;
(2)当a=1时,若直线l:y=kx-2与曲线y=f(x)在(-∞,0)上有公共点,求k的取值范围.

查看答案和解析>>

科目:高中数学 来源: 题型:

已知函数f(x)=x2+2|lnx-1|.
(1)求函数y=f(x)的最小值;
(2)证明:对任意x∈[1,+∞),lnx≥
2(x-1)
x+1
恒成立;
(3)对于函数f(x)图象上的不同两点A(x1,y1),B(x2,y2)(x1<x2),如果在函数f(x)图象上存在点M(x0,y0)(其中x0∈(x1,x2))使得点M处的切线l∥AB,则称直线AB存在“伴侣切线”.特别地,当x0=
x1+x2
2
时,又称直线AB存在“中值伴侣切线”.试问:当x≥e时,对于函数f(x)图象上不同两点A、B,直线AB是否存在“中值伴侣切线”?证明你的结论.

查看答案和解析>>

科目:高中数学 来源: 题型:

已知函数f(x)=x2-bx的图象在点A(1,f(1))处的切线l与直线x+3y-1=0垂直,若数列{
1
f(n)
}的前n项和为Sn,则S2012的值为(  )

查看答案和解析>>

科目:高中数学 来源: 题型:

已知函数f(x)=xlnx
(Ⅰ)求函数f(x)的极值点;
(Ⅱ)若直线l过点(0,-1),并且与曲线y=f(x)相切,求直线l的方程.

查看答案和解析>>

科目:高中数学 来源: 题型:

已知函数f(x)=
3
x
a
+
3
(a-1)
x
,a≠0且a≠1.
(1)试就实数a的不同取值,写出该函数的单调增区间;
(2)已知当x>0时,函数在(0,
6
)上单调递减,在(
6
,+∞)上单调递增,求a的值并写出函数的解析式;
(3)记(2)中的函数图象为曲线C,试问是否存在经过原点的直线l,使得l为曲线C的对称轴?若存在,求出直线l的方程;若不存在,请说明理由.

查看答案和解析>>

同步练习册答案