精英家教网 > 高中数学 > 题目详情
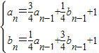
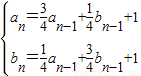
已知数列{an},{bn)满足a1=2,b1=1,且(n≥2),数列{cn}满足cn=an+bn
(1)求c1和c2的值;
(2)求证:数列 {cn}为等差数列,并求出数列{cn}的通项公式;
(3)设数列{cn}的前n和为Sn,求证:+++…+<1.
【答案】分析:(1)利用数列递推式,代入计算,可得结论;
(2)根据题设得an+bn=(an-1+bn-1)+2(n≥2),即cn=cn-1+2(n≥2),即可得到数列{cn}的通项公式cn
(3)求出前n项和Sn,可得{}的通项,利用裂项法,即可证得结论.
解答:(1)解:(1)由题意,∵a1=2,b1=1,∴c1=a1+b1=3,
==
∴c2=a2+b2=5;
(2)证明:因为(n≥2),
∴cn=an+bn=()+()=an-1+bn-1+2=cn-1+2
∴cn-cn-1=2,即数列{cn}是以c1=3为首项,2为公差的等差数列
∴cn=3+2(n-1)=2n+1;
(3)证明:Sn==n(n+2),∴=
+++…+=+…+]
==<1.
点评:本题主要考查等差数列的性质以及数列的求和,考查学生分析解决问题的能力,属于中档题.
练习册系列答案
相关习题

科目:高中数学 来源: 题型:

已知数列{an}满足:a1<0,
an+1
an
=
1
2
,则数列{an}是(  )

查看答案和解析>>

科目:高中数学 来源: 题型:

已知数列{an}满足:a1=1,nan+1=2(n十1)an+n(n+1),(n∈N*),
(I)若bn=
ann
+1
,试证明数列{bn}为等比数列;
(II)求数列{an}的通项公式an与前n项和Sn.

查看答案和解析>>

科目:高中数学 来源: 题型:

(2013•顺义区二模)已知数列{an}中,an=-4n+5,等比数列{bn}的公比q满足q=an-an-1(n≥2),且b1=a2,则|b1|+|b2|+…+|bn|=(  )

查看答案和解析>>

科目:高中数学 来源: 题型:

已知数列{an}的前n项和Sn=n2+3n+1,则数列{an}的通项公式为
an=
5
      n=1
2n+2
    n≥2
an=
5
      n=1
2n+2
    n≥2

查看答案和解析>>

科目:高中数学 来源: 题型:

已知数列{an}的前n项和Sn=n2+n,那么它的通项公式为an=
2n
2n

查看答案和解析>>

同步练习册答案