精英家教网 > 高中数学 > 题目详情

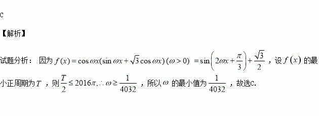
已知函数,如果存在实数,使得对任意的实数,都有成立,则的最小值为( )

A. B. C. D.

练习册系列答案
相关习题

科目:高中数学 来源:2016届湖北省沙市高三下第三次半月考文科数学试卷(解析版) 题型:选择题

定义在R上的函数满足,当时,,则函数上的零点个数是( )

A.504 B.505 C.1008 D.1009

查看答案和解析>>

科目:高中数学 来源:2015-2016学年福建省高二下第一次月考理数学卷(解析版) 题型:填空题

的展开式的常数项是

查看答案和解析>>

科目:高中数学 来源:2016届河北省高三下第一次模拟理科数学试卷(解析版) 题型:解答题

如图,正方形边长为2,以为圆心、为半径的圆弧与以为直径的半圆交于点,连结并延长交于点

(1)求证:

(2)求的值.

查看答案和解析>>

科目:高中数学 来源:2016届河北省高三下第一次模拟理科数学试卷(解析版) 题型:填空题

已知随机变量服从正态分布,若,则________.

查看答案和解析>>

科目:高中数学 来源:2016届河北省高三下第一次模拟理科数学试卷(解析版) 题型:选择题

的展开式中,的系数为( )

A.15 B.-15 C.60 D.-60

查看答案和解析>>

科目:高中数学 来源:2015-2016学年青海省高一4月月考数学试卷(解析版) 题型:解答题

某学校团委组织了“文明出行,爱我中华”的知识竞赛,从参加考试的学生中抽出60名学生,将其成绩(单位:分)整理后,得到如下频率分布直方图(其中分组区间为,…,).

(1)求成绩在的频率,并补全此频率分布直方图;

(2)求这次考试平均分的估计值;

(3)若从成绩在的学生中任选两人,求他们的成绩在同一分组区间的概率.

查看答案和解析>>

科目:高中数学 来源:2015-2016学年青海省高一4月月考数学试卷(解析版) 题型:选择题

甲乙两人下棋,甲获胜的概率为30%,甲不输的概率为80%,则甲乙下成和棋的概率为( )

A.70% B.30% C.20% D.50%

查看答案和解析>>

科目:高中数学 来源:2015-2016学年河北定州中学高一上学期周练一数学试卷(解析版) 题型:选择题

若集合,,则( )

A. B. C. D.

查看答案和解析>>

同步练习册答案