精英家教网 > 高中数学 > 题目详情

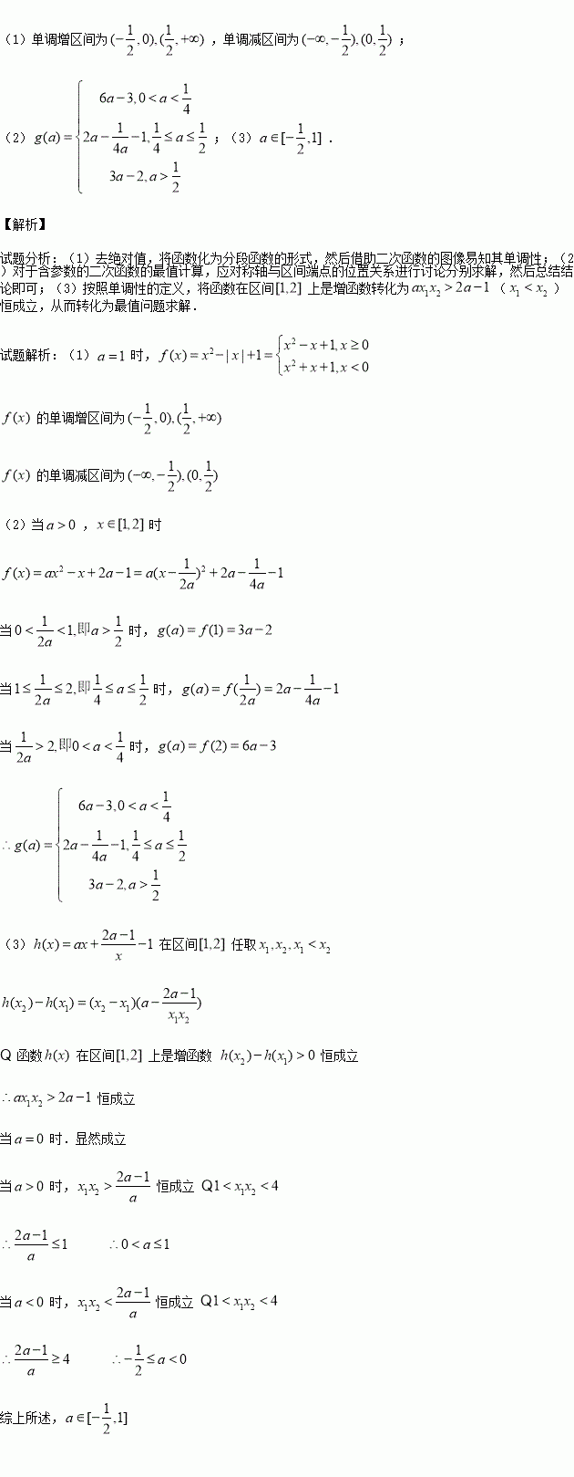
已知函数为实常数).

(1)若,求的单调区间;

(2)若,设在区间的最小值为,求的表达式;

(3)设,若函数在区间上是增函数,求实数的取值范围.

练习册系列答案
相关习题

科目:高中数学 来源:2016届河北省高三上学期四调理科数学试卷(解析版) 题型:填空题

定义函数,若存在常数,对于任意,存在唯一的,使得,则称函数上的“均值”为,已知,则函数上的“均值”为

查看答案和解析>>

科目:高中数学 来源:2016届湖南省株洲市高三上学期期中文科数学试卷(解析版) 题型:解答题

将圆x2+y2=1上每一点的横坐标保持不变,纵坐标变为原来的2倍,得曲线C.

(1)写出C的参数方程;

(2)设直线l:2x+y-2=0与C的交点为P1,P2,以坐标原点为极点,x轴正半轴为极轴建立极坐标系,求过线段P1P2的中点且与l垂直的直线的极坐标方程.

查看答案和解析>>

科目:高中数学 来源:2016届湖北武汉华中师大一附等高三上第一次联考文数学卷(解析版) 题型:选择题

若偶函数上单调递减,,则满足( )

A. B. C. D.

查看答案和解析>>

科目:高中数学 来源:2016届福建省高三上学期期中考理科数学试卷(解析版) 题型:解答题

设数列的前项和为,已知),是数列的前项和.

(1)求数列的通项公式;

(2)求满足的最大正整数的值.

查看答案和解析>>

科目:高中数学 来源:2015-2016学年浙江省高一上学期期中数学试卷(解析版) 题型:选择题

下列函数与有相同图象的一个函数是( ).

A. B. C. D.

查看答案和解析>>

科目:高中数学 来源:2015-2016学年湖南师大附中高二上学期期中文科数学试卷(解析版) 题型:解答题

已知分别为内角A,B,C的对边,,且

(1)求A;

(2)若,求的面积.

查看答案和解析>>

科目:高中数学 来源:2014-2015学年贵州省高二上学期半期考试文科数学试卷(解析版) 题型:选择题

甲、乙、丙三名同学站成一排,甲站在中间的概率是( ).

A. B. C. D.

查看答案和解析>>

科目:高中数学 来源:2016届甘肃省高三12月月考理科数学试卷(解析版) 题型:选择题

已知一个几何体的三视图是三个全等的边长为1的正方形,如图所示,则它的体积为( )

A. B. C. D.

查看答案和解析>>

同步练习册答案