精英家教网 > 高中数学 > 题目详情

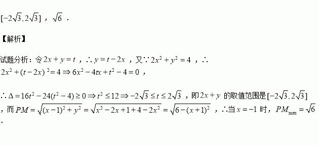
已知点在椭圆上,则的取值范围是 ,椭圆上的点到的距离的最大值为

练习册系列答案
相关习题

科目:高中数学 来源:2015-2016学年四川成都市六校高二上学期期中联考理科数学试卷(解析版) 题型:选择题

是互不相同的空间直线,α、β是不重合的平面,则下列结论正确的是

A.

B.

C.

D.

查看答案和解析>>

科目:高中数学 来源:2014-2015年河北保定一中高二下第一次段考理数学试卷(解析版) 题型:选择题

若函数对任意的都有恒成立,则( )

A. B.

C. D.的大小不确定

查看答案和解析>>

科目:高中数学 来源:2014-2015学年广东省高二6月月考理科数学试卷(解析版) 题型:解答题

(本小题满分分)为考察高中生的性别与是否喜欢体育课程之间的关系,在我市某普通中学高中生中随机抽取200名学生,得到如下列联表:

喜欢体育课

不喜欢体育课

合计

30

60

90

20

90

110

合计

50

150

200

(1)根据独立性检验的基本思想,约有多大的把握认为“性别与喜欢体育课之间有关系”?

(2)若采用分层抽样的方法从不喜欢体育课的学生中随机抽取5人,则男生和女生抽取的人数分别是多少?

(3)从(2)随机抽取的5人中再随机抽取3人,该3人中女生的人数记为,求的数学期望.

查看答案和解析>>

科目:高中数学 来源:2016届重庆市高三上学期期中文科数学试卷(解析版) 题型:选择题

若函数的零点与的零点之差的绝对值不超过,则可以是( )

A. B. C. D.

查看答案和解析>>

科目:高中数学 来源:2015-2016年浙江宁波效实中学高二1,2班上期中数学卷(解析版) 题型:填空题

亲情教育越来越受到重视.在公益机构的这类活动中,有一个环节要求父(母)与子(女)各自从1,2,3,4,5中随机挑选一个数以观测两代人之间的默契程度.若所选数据之差的绝对值等于1,则称为“基本默契”,若所选数据相同,则称为“非常默契”,则结果是“非常默契”的概率为_____;结果为“基本默契”的概率为

查看答案和解析>>

科目:高中数学 来源:2015-2016学年河北省高一上学期期中数学试卷(解析版) 题型:选择题

函数的单调增区间是

A. B. C. D.

查看答案和解析>>

科目:高中数学 来源:2016届浙江省高三期中文科数学试卷(解析版) 题型:选择题

已知△ABC的三边a,b,c所对角分别为A,B,C,且,则cosB的值为( )

A. B. C. D.

查看答案和解析>>

科目:高中数学 来源:2016届甘肃省高三上学期期中文科数学试卷(解析版) 题型:填空题

设函数f(x)=ln x-ax2-bx,若x=1是f(x)的极大值点,则a的取值范围为________.

查看答案和解析>>

同步练习册答案