精英家教网 > 高中数学 > 题目详情

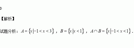
若集合A={x|(x+1)(3﹣x)>0},集合B={x|1﹣x>0},则A∩B等于( )

A.(1,3) B.(﹣∞,﹣1) C.(﹣1,3) D.(﹣1,1)

练习册系列答案
相关习题

科目:高中数学 来源:2015-2016学年山西省高二下期中文科数学试卷(解析版) 题型:选择题

是两个等差数列,若,则也是等差数列,类比上述性质,设是等比数列,则下列说法正确的是( )

A.若,则是等比数列

B.若,则是等比数列

C.若,则是等比数列

D.以上说明均不正确

查看答案和解析>>

科目:高中数学 来源:2015-2016学年河北省高二下期中文科数学试卷(解析版) 题型:选择题

已知函数对任意都有意义,则实数的取值范围是( )

A. B. C. D.

查看答案和解析>>

科目:高中数学 来源:2015-2016学年甘肃省高一下期中数学试卷(解析版) 题型:填空题

二进制110011化成十进制数为

查看答案和解析>>

科目:高中数学 来源:2015-2016学年甘肃省高一下期中数学试卷(解析版) 题型:选择题

某工厂对一批产品进行了抽样检测.如图是根据抽样检测后的产品净重(单位:克)数据绘制的频率分布直方图,其中产品净重的范围是[96,106],样本数据分组为[96,98),[98,100),[100,102),[102,104),[104,106],已知样本中产品净重小于100克的个数是36,则样本中净重大于或等于98克并且小于104克的产品的个数是( )

A.90 B.75 C.60 D.45

查看答案和解析>>

科目:高中数学 来源:2015-2016学年山西省高二下期中文科数学试卷(解析版) 题型:解答题

通过随机询问某校名高中学生在购买食物时是否看营养说明,得到如下的列联表:

性别与看营养说明列联表 单位:名

(1)从这名女生中按是否看营养说明采取分层抽样,抽取一个容量为的样本,问样本中看与不看营养说明的女生各有多少名?

(2)根据以上列联表,能否在犯错误的概率不超过的前提下认为性别与是否看营养说明之间有关系?

下面的临界值表供参考:

(参考公式:,其中

查看答案和解析>>

科目:高中数学 来源:2015-2016学年山西省高二下期中文科数学试卷(解析版) 题型:选择题

设函数在区间上是单调递减函数,则实数的取值范围是( )

A. B. C. D.

查看答案和解析>>

科目:高中数学 来源:2015-2016学年山西省高二下期中理科数学试卷(解析版) 题型:解答题

已知复数满足为虚数单位).

(1)求复数,以及复数的实部与虚部;

(2)求复数的模.

查看答案和解析>>

科目:高中数学 来源:2015-2016学年广东实验中学高二下期中文科数学试卷(解析版) 题型:解答题

已知椭圆C:=1(a>0,b>0)的两焦点与短轴的一个端点的连线构成等边三角形,直线x+y+2-1=0与以椭圆C的右焦点为圆心,以椭圆的长半轴长为半径的圆相切.

(1)求椭圆C的方程;

(2)设点B,C,D是椭圆上不同于椭圆顶点的三点,点B与点D关于原点O对称.设直线CD,CB,OB,OC的斜率分别为k1,k2,k3,k4,且k1k2=k3k4.

①求k1k2的值:

②求OB2+ OC2的值.

查看答案和解析>>

同步练习册答案